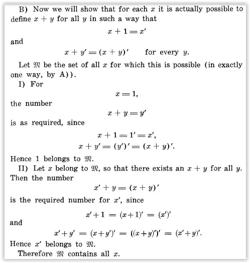
Here is Theorem 4 and the proof of its part 2 from E. Landau's Foundations of Analysis. ($x'$ means $s(x)$ where $s$ is the successor function).
In part 1 he proved that there is at most one way to define a + b. And now, it is my understanding, he tries to prove then a natural number denoted by $x + y$ actually exists. Why does he not keep $x$ fixed here (like he did when proving part 1)? Here he proves it for (1, 1), (1, 2), (1, ...), (2, 1), (2, 2), (2, ...) etc, instead of proving for (x, 1), (x, 2), (x, ...). Would my proof be correct, if I wrote it with x fixed?
My proof:
We take any $x$ and show that $x + y$ exists for all $y$; $x + 1 = x'$ by definition. So $x + y$ exists for $y = 1$. Now we will prove that if $x + y$ exists then $x + y'$ also exists. $x + y' = (x + y)'$, but $x + y$ exists then $(x + y)'$ also exists. Hence by induction $x + y$ exists for all $y$. QED.
Why is this simpler proof worse then the author's?
$\quad$ Theorem $\bf 4,$ and at the same time Definition $\bf 1:\;\;$ To every pair of numbers $x,y$, we may assign in exactly one way a natural number, called $x+y$ ($+$ to be read "plus"), such that
- $x+1=x'\qquad$ for every $x$.
- $x+y'=(x+y)'$ for every $x$ and every $y$
$x+y$ is called the sum of $x$ and $y$, or the number obtained by addition of $y$ to $x$.
