0

I am reading the proof of addition of numbers.

enter image description here

In the proof author first shows uniqueness of $x+y$ and then the existence of plus operation with the above listed properties.

The second proof is as shown below.

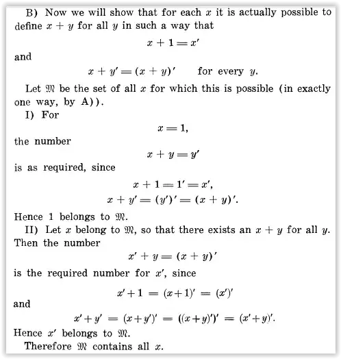
enter image description here

In this the induction on x is applied.
My question is that for $x=1,\;1+y=y'$ is defined or assumed. and for arbitrary $x \in \mathfrak R,\;x'+y=(x+y)'$ is defined to complete the proof.

I have read the answer to the following two posts-

  1. Proving the definition of addition.
  2. Proof of Edmund Landau's Foundation of Analysis.

But I don't understand the answer for the exact reason how the author basically suppose $1+y=y'$ and $x'+y=(x+y)'$ for $x=1$ and $x\in\mathfrak R$.

Does the author use the uniqueness of "plus" to assume the above thing or there is something different reasoning?

Please explain what is the justification to the supposition use in the proof?

Iti
  • 273

2 Answers2

0

The set $M$ is the set of all numbers $x$ that satisfy the following condition:

There is a way to associate with every number $y$ a number called $x + y$ such that

  • $x + 1 = x'$
  • $x + y' = (x + y)'$ for every number $y$

In part B) of the proof, for $x = 1$, the author claims that associating $y'$ with every $y$ works. So, yes, he is indeed defining $1 + y$ to be $y'$. And, at the same time, he shows that that definition fits the requirement, so that indeed $1 \in M$.

Magdiragdag
  • 15,435
  • I think he is defining $x+1$ to be $x'$ and then proving by induction that $1+y=y'$, by showing that $x+1=x' \implies 1+1=1'$ and then $1+y =y' \implies 1+y'=(y')'$ – Henry Sep 17 '20 at 16:24
  • Ok basically he defines $x+1=x'$ and $x+y'=(x+y)'$ fpr all $y$. They are also unique and with the help of it he proves $1\in\mathfrak R$ and then all $x\in \mathfrak R$. But it might happen that the theorem he is posing is not correct so the things he defined which follow his theorem will also be incorrect. So shouldn't there be some more basic reasoning to prove the theorem which require more minimum definitions to prove it. – Iti Sep 17 '20 at 16:39
0

The poof is a little bit "idiosyncratic" but it amounts to showing that the definition of "+" is a "good" definition of a binary operation.

In formula, the author proves that:

$\forall x \forall y \exists ! z (x+y=z)$,

where obviously the domain of variables is the collection of natural numbers.

The author starts with the uniqueness part (A).

Then he proves the existence part (B). How to do this by induction ?

Let $\mathfrak M = \{ x \in \mathbb N \mid \exists z (x+y=z), \text { for every } y \}$.

It is by definition a subset of $\mathbb N$. In order to achieve the goal, we have to show that $\mathbb N \subseteq \mathfrak M$.

I) Let's start with $x=1$ and prove that $\exists z (1+y=z)$, for every $y$.

For $y=1$ we have: $1+y=1+1=1'$, using the part $x+1=x'$ of the definition of sum.

By Ax.2, the successor of $1$ exists and thus we have proved that $\exists z (1+1=z)$.

Now assume that $1+y$ exists and consider $y'$.

We have: $1+y'= y'+1 ( \text { using properties of equality}) = (y')'$, using again the definition of sum. And this is: $(y+1)'.$

Again we have that: $\exists z (1+y'=z)$.

In conclusion, we have proved that: $\exists z (1+y=z)$, for every $y$.

This concludes the base step: $1 \in \mathfrak M$.

II) Now the inductive step: assume that $x \in \mathfrak M$ and prove that $x' \in \mathfrak M$.

Having done this, we will use Ax.5 to conclude that $\mathfrak M$ contains all the natural numbers and the theorem is proved.

The argument is the same: assume that $\exists z (x+y=z)$, for every $y$, and prove (by induction on $y$) that $\exists z (x'+y=z)$, for every $y$.

We have $x'+1=(x')'=(x+1)'$, using the first part of the definition of sum.

Now assume the existence of $x'+y$ and compute $x'+y'$.

We have: $x'+y'=(x'+y)'$, using the second part of the definition of sum. But $x'+y$ exists, and thus we have that also $x'+y'$ exists, showing that $\exists z (x+y=z)$, for every $y$.

  • can you please correct the formatting in the section on the inductive basis (“we have: 1 + y’ = y’…” – Cyrus Sep 19 '24 at 03:20
  • also, if Landau is defining 1+y = y’, why not just in life that in the statement of the relations defining addition ( referred to as 1) and 2) in the statement of th le theorem)? – Cyrus Sep 19 '24 at 15:30
  • @Cyrus - not clear... the addition is defined as "add a number y to a number x whatever". We can reverse the order, but in both case we have not yet commutativity of sum... before having defined sum. – Mauro ALLEGRANZA Sep 19 '24 at 16:42
  • @Maura apologies, there was a typo. What my previous comment should have said is “why not just include 1+y=y’ alongside the other two relations defining addition, if Landau is adding this component to the definition and justifying it. – Cyrus Sep 19 '24 at 19:53
  • Also, why is there no mention (in any of the resources I’ve come across) that the scope is shifting from FOL PA to SOL PA? – Cyrus Sep 20 '24 at 02:35