2

The theorem is as following:

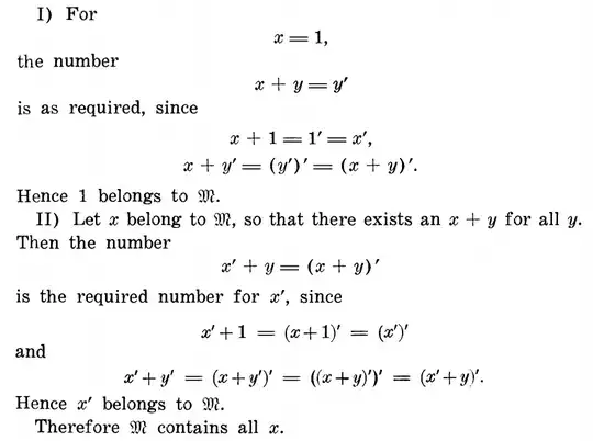
Theorem 4

The proof was split into two parts, namely: Uniqueness and Existence, I have hard time understanding the existence part:

Existence

Namely: in the 10-12th line, what did Edmund Landau mean by saying : "$Then\; the\; number\; x'+y=(x+y)' \;is\; the\; required\; number\; for\; x'$" Isn't this similar to what we are trying to prove? namely: $x+y'=(x+y)'$ Did he assumed it? If so, why are we allowed to that? (why don't we just assumed Theorem 4 right away, if this was the case) Thanks!

hteica
  • 468
  • 4
  • 18
  • The answer is in https://math.stackexchange.com/questions/793915/proving-the-definition-of-addition – hteica Nov 21 '19 at 18:24

1 Answers1

1

He uses an inductive proof here. To be specific, on the outside, he does induction on $x$, and shows that $x$ has the desired property for any $y$.

Part I of his proof is of course the inductive base $x=1$ for this proof. That is, he shows that for $x=1$ there exists a number with the desired property given any $y$.

Part II is the inductive step. Here, he shows that if for some $x$ there exists some number $x+y$ that has the desired property given any $y$, then for $x'$, there exists some number $x'+y$ that has the desired property given any $y$.

In particular: the inductive hypothesis is that for some $x$ it is true that:

1) $x+1=x'$

2) $x+y'=(x+y)'$

And he uses that to prove:

1) $x'+1=x'$

2) $x'+y'=(x'+y)'$

So, when you say:

Isn't this similar to what we are trying to prove? namely: $x+y'=(x+y)'$

He assumes $x+y'=x+y$, but he is trying to show that $x'+y'=(x'+y)'$. Those are similar, yes, but they are (crucially!) not the same.

Did he assumed it? If so, why are we allowed to that?

Yes: he assumed $x+y'=(x+y)'$, but yes: he is allowed to do so, since that is the nature of inductive proofs.

Hope that helps!

Bram28
  • 103,721
  • Thank you for your answer, I think there's some misunderstanding here, sorry, but what I asked was why we are allowed to assume $x'+y=(x+y)'$ not $x+y'=(x+y)'$, I know the latter one is the inductive hypothesis, why are we allowed to use this "fact" $x'+y=(x+y)'$ in proving the inductive step of $x+y'=(x+y)'$? – hteica Nov 20 '19 at 20:00
  • Yes, do you mind explaining how he did it? The induction on $y$, I can't seem to prove the base case $x'+1=x+1'$, thanks! – hteica Nov 20 '19 at 20:54
  • @hteica It's just the other way around. He can use $x+y'=(x+y)'$ in order to show $x'+y=(x+y)'$ – Bram28 Nov 20 '19 at 20:55
  • @hteica Ugh ... I still didn't have that quite right .... he doesn't really use induction on $y$ ... it's that the property-in-question has an inductive nature to it. So I completely understand you're confused .. he managed to confuse me as well! Anyway, I just updated the Answer, and I think I got it all right now. – Bram28 Nov 20 '19 at 20:58
  • Ah, but he also used $x'+y=(x+y)'$ to prove $x+y'=(x+y)'$ (in the 3rd last row), wouldn't this be circular? – hteica Nov 20 '19 at 21:01