Say $A, B$ are $N\times M$ real valued matrices. We can attach some meaning to the rows and columns if that makes thinking easier. For example, A and B may represent two different stores, where the columns are the different types of items sold and the rows correspond to different days of the week. Is all the information that is in $A^TB$ also in $AB^T$? Meaning, could one reconstruct one from the other?
-
3I would suggest doing an example with $n\times 1$ matrices to get a sense of the difference. One expression is the dot product while the other is an array of different pairwise multiplications, which has a lot more information in it. – Cheerful Parsnip Jul 29 '24 at 19:24
-
2You can find examples where one is zero but the other isn't. – Qiaochu Yuan Jul 29 '24 at 19:39
-
there is that weird thing where, for a rectangular matrix $R,$ that the traces of $RR^T$ and $R^T R$ agree, which is easy enough, but also that the full characteristic polynomial of one is $x^{m-n}$ times the characteristic polynomial of the other. Let me try some examples with distinct $A,B$ – Will Jagy Jul 29 '24 at 20:00
-
Following your example, multiplying store matrices produces something like correlation matrices. Depending on the order of multiplication, the result can show the correlation between the sales of products, or between days of week, among the two stores. These are substantially different information. Besides, in each multiplication, data is aggregated. We can't rebuild one product from the other. – Saeed Jul 29 '24 at 20:16
2 Answers
No, generally you cannot reconstruct one from the other. Take for example the matrices
$$A = \begin{pmatrix} 1 \\ 0 \end{pmatrix}, B = \begin{pmatrix} 0 \\ 1 \end{pmatrix}$$
and
$$C = \begin{pmatrix} 2 \\ 0 \end{pmatrix}, D = \begin{pmatrix} 0 \\ 1 \end{pmatrix}$$
We see that $A^T B = C^T D = 0$, but $A B^T = \begin{pmatrix} 0 & 1 \\ 0 & 0 \end{pmatrix} \ne C D^T = \begin{pmatrix} 0 & 2 \\ 0 & 0 \end{pmatrix}$.
- 10,436
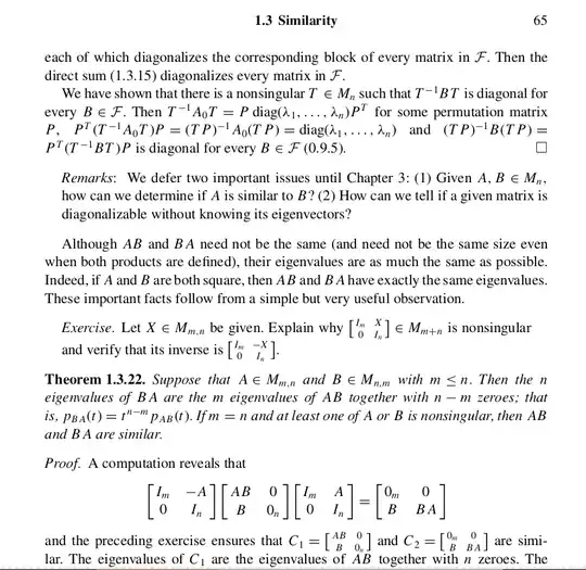
Just something I dimly remember: here is an example. Note how the characteristic polynomial for the 3 by 3 matrix $n = a^Tb,$ is precisely $x$ times the characteristic polynomial for the 2 by 2 matrix $m = a b^T.$ Found it, Horn and Johnson, Matrix Analysis, Theorem 1.3.20 on page 53. Oh, in the second edition, it is 1.3.22 on page 65. There is a discussion and proof at Do matrices $ AB $ and $ BA $ have the same minimal and characteristic polynomials? linked in comment below by Branimir Cocic
? a = [ 1,2,3; 4,5,6]
%1 =
[1 2 3]
[4 5 6]
? b = [ 7, 11, 13; 17, 19,23]
%2 =
[ 7 11 13]
[17 19 23]
?
?
? m = a * mattranspose(b)
%3 =
[ 68 124]
[161 301]
? n = mattranspose(a) * b
%4 =
[ 75 87 105]
[ 99 117 141]
[123 147 177]
? mch= charpoly(m)
%5 = x^2 - 369x + 504
? nch= charpoly(n)
%6 = x^3 - 369x^2 + 504*x
?
- 146,052
-
A proof of the underlying general fact (if $a$ is $m \times n$ and $b$ is $n \times m$, then $x^n\det(xI_m-ab) = x^m\det(xI_n-ba)$) can be found here. – Branimir Ćaćić Jul 29 '24 at 20:19
-
-
