I am reading "Linear Algebra" by Ichiro Satake.
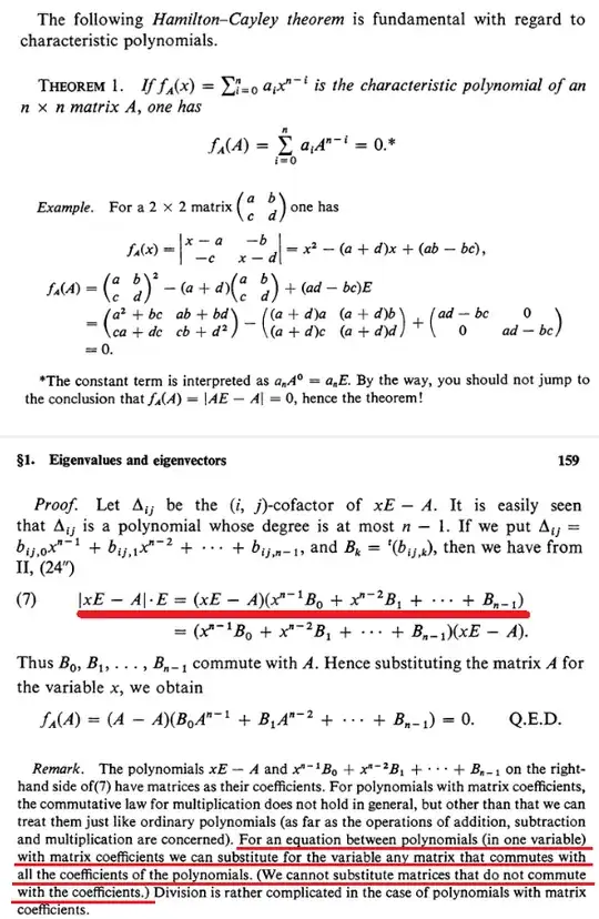
The author proved that $B_0,B_1,\dots,B_{n-1}$ commute with $A$.
But I think we don't need to prove that $B_0,B_1,\dots,B_{n-1}$ commute with $A$ to prove Cayley-Hamilton theorem.
I think if $C$ is any matrix which commutes with $A$, we can substitute $C$ for the variable $x$.
So, I think if $C$ is any matrix which commutes with $A$, $$f_A(C)=(C-A)(C^{n-1}B_0+C^{n-2}B_1+\dots+B_{n-1})$$ and $$f_A(C)=(B_0C^{n-1}+B_1C^{n-2}+\dots+B_{n-1})(C-A)$$ hold.
In particular, $A$ commutes with $A$ itself, so $$f_A(A)=(A-A)(A^{n-1}B_0+A^{n-2}B_1+\dots+B_{n-1})=O$$ and $$f_A(A)=(B_0A^{n-1}+B_1A^{n-2}+\dots+B_{n-1})(A-A)=O$$ hold.
Am I wrong?
