I am looking for a laymen step by step of how the process of finding the 1st and 2nd sample moments located:
http://en.wikipedia.org/wiki/Beta-binomial_distribution#Maximum_likelihood_estimation
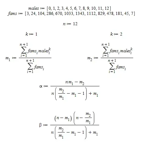
Also it's my limited understanding that k-th sample moments are defined as $${\frac {\sum _{i=1}^{n}{x_{{i}}}^{k}}{n}}$$
For samples $x_1, x_2...x_n$ where $n$ = total number of samples. (source: http://en.wikipedia.org/wiki/Moment_(mathematics)#Sample_moments)
Given their example data:
Males 0 1 2 3 4 5 6 7 8 9 10 11 12
Families 3 24 104 286 670 1033 1343 1112 829 478 181 45 7
The first thing I don't understand is why they say $n=12$ when there are 13 data points. Wouldn't that imply $n=13$
I believe the sample moments are:
$m_1 = \frac{0+1+2+3+4+5+6+7+8+9+10+11+12}{13} = 6$
$m_2 = \frac{0^2+1^2+2^2+3^2+4^2+5^2+6^2+7^2+8^2+9^2+10^2+11^2+12^2}{13} = 50$
Yet they have
$$m_1 = 6.23$$ $$m_2=42.31$$
Even If I use $n=12$ and cut off either the first or last record I am left with different values.
Despite that, even using their values of $$m_1 = 6.23$$$$m_2=42.31$$$$n=12$$ going by the equation for the method of moments estimates:
$$\alpha= \frac{( nm_{{1}}-m_{{2}} ) }{n ( {\frac {m_{{2 }}}{m_{{1}}}}-m_{{1}}-1 ) +m_{{1}}} = 33.59257915$$
$$\beta= \frac{( n-m_{{1}} ) ( n-{\frac {m_{{2}}}{m_{{1}}}} )}{n ( {\frac {m_{{2}}}{m_{{1}}}}-m_{{1}}-1 ) +m_{{1}}} = 31.11222820 $$
which do not match his values of:
$$\alpha= 34.1350$$ $$\beta = 31.6085$$
Edit: Given this question was spawned from Rating system incorporating experience; For purposes of record keeping for later googlers, I decided to reword this question to better suit the answers. A detail explanatin of Beta-binomial model and the MLE method of finding $\alpha$ and $\beta$ are located there.
