As per the linked question, the simplest solution is just to get the classical processor to perform such operations if possible. Of course, that may not be possible, so we want to create an adder.
There are two types of single bit adder - the half-adder and the full adder. The half-adder takes the inputs $A$ and $B$ and outputs the 'sum' (XOR operation) $S = A\oplus B$ and the 'carry' (AND operation) $C = A\cdot B$. A full adder also has the 'carry in' $C_{in}$ input and the 'carry out' output $C_{out}$, replacing $C$. This returns $S=A\oplus B\oplus C_{in}$ and $C_{out} = C_{in}\cdot\left(A+B\right) + A\cdot B$.
Quantum version of the half-adder
Looking at the CNOT gate on qubit register $A$ controlling register $B$: \begin{align*}\text{CNOT}_{A\rightarrow B}\left|0\right>_A\left|0\right>_B &= \left|0\right>_A\left|0\right>_B \\ \text{CNOT}_{A\rightarrow B}\left|0\right>_A\left|1\right>_B &= \left|0\right>_A\left|1\right>_B \\\text{CNOT}_{A\rightarrow B}\left|1\right>_A\left|0\right>_B &= \left|1\right>_A\left|1\right>_B \\\text{CNOT}_{A\rightarrow B}\left|1\right>_A\left|1\right>_B &= \left|1\right>_A\left|0\right>_B, \\
\end{align*} which immediately gives the output of the $B$ register as $A\oplus B = S$. However, we have yet to compute the carry and the state of the $B$ register has changed so we also need to perform the AND operation. This can be done using the 3-qubit Toffoli (controlled-CNOT/CCNOT) gate. This can be done using registers $A$ and $B$ as control registers and initialising the third register $\left(C\right)$ in state $\left|0\right>$, giving the output of the third register as $A\cdot B = C$. Implementing Toffoli on registers $A$ and $B$ controlling register $C$ followed by CNOT with $A$ controlling $B$ gives the output of register $B$ as the sum and the output of register $C$ as the carry. A quantum circuit diagram of the half-adder is shown in figure 1.

Figure 1: Circuit Diagram of a half-adder, consisting of Toffoli followed by CNOT. Input bits are $A$ and $B$, giving the sum $S$ with carry out $C$.
Quantum version of the full adder
Shown in figure 2, a simple way of doing this for single bits is by using $4$ qubit registers, here labelled $A$, $B$, $C_{in}$ and $1$, where $1$ starts in state $\left|0\right>$, so the initial state is $\left|A\right>\left|B\right>\left|C_{in}\right>\left|0\right>$:
- Apply Toffoli using $A$ and $B$ to control $1$: $\left|A\right>\left|B\right>\left|C_{in}\right>\left|A\cdot B\right>$
- CNOT with $A$ controlling $B$: $\left|A\right>\left|A\oplus B\right>\left|C_{in}\right>\left|A\cdot B\right>$
- Toffoli with $B$ and $C_{in}$ controlling $1$: $\left|A\right>\left|A\oplus B\right>\left|C_{in}\right>\left|A\cdot B\oplus\left(A\oplus B\right)\cdot C_{in} = C_{out}\right>$
- CNOT with $B$ controlling $C_{in}$: $\left|A\right>\left|A\oplus B\right>\left|A\oplus B\oplus C_{in} = S\right>\left|C_{out}\right>$
A final step to get back the inputs $A$ and $B$ is to apply a CNOT with register $A$ controlling register $B$, giving the final output state as $$\left|\psi_{out}\right> = \left|A\right>\left|B\right>\left|S\right>\left|C_{out}\right>$$
This gives the output of register $C_{in}$ as the sum and the output of register $2$ as carry out.

Figure 2: Circuit diagram of a full adder. Input bits are $A$ and $B$ along with a carry in $C_{in}$, giving the sum $S$ with carry out $C_{out}$.
Quantum version of the ripple carry adder
A simple extension of the full adder is a ripple carry adder, named as it 'ripples' the carry out to become the carry in of the next adder in a series of adders, allowing for arbitrarily-sized (if slow) sums. A quantum version of such an adder can be found e.g. here
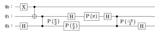
Actual implementation of a half-adder
For many systems, implementing a Toffoli gate is far from as simple as implementing a single qubit (or even two qubit) gate. This answer gives a way of decomposing Toffoli into multiple smaller gates. However, in real systems, such as IBMQX, there can also be issues on which qubits can be used as targets. As such, a real life implementation on IBMQX2 looks like this:

Figure 3: Implementation of a half-adder on IBMQX2. In addition to decomposing the Toffoli gate into multiple smaller gates, additional gates are required as not all qubit registers can be used as targets. Registers q[0] and q[1] are added to get the sum in q[1] and the carry in q[2]. In this case, the result q[2]q[1] should be 10. Running this on the processor gave the correct result with a probability of 42.8% (although it was still the most likely outcome).