11

let $G$ a finite group, not abelian. I don't know if a short proof of this fact exists :

$$\mathbb{P}(xy = yx) \leq 5/8$$ $x,y$ are randomly picked.

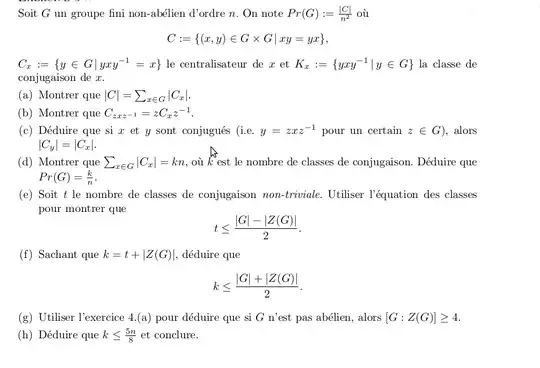
Edit : If possible, i want to know if there is a shorter proof than this one : enter image description here

(in french sorry)

YCor
  • 18,715
  • 1
    How do you randomly select a non Abelian finite group? – Lehs Sep 29 '14 at 09:23
  • 2
    @Lehs The group is fixed, not random. – Andrew Dudzik Sep 29 '14 at 09:23
  • Is it indeed a fact? If so then I assume that you have seen a proof of it allready. How "short" was it? – drhab Sep 29 '14 at 09:27
  • 1
    @Nicolas: have you simulated this for permutation groups on a computer? Else how did you get $5/8$? – Lehs Sep 29 '14 at 09:28
  • Before type your question please search about it. http://math.stackexchange.com/questions/891122/probability-that-elements-in-a-noncommutative-group-commute – Bumblebee Sep 29 '14 at 10:02
  • Sorry, my computer has very low battery. I already know a proof of this fact, which uses the centralizator and the class formulae. I was just wondering if there is a more "shorter" and "compact" proof of this fact, even if big tools are used. –  Sep 29 '14 at 10:17
  • 1
    Well then @Nicolas, perhaps you should write down in your question that proof you say you have, or at least give a link where the proof can be found. – Timbuc Sep 29 '14 at 10:36
  • Ok, here there is a screenshot of the sketch of the proof I know : http://img4.hostingpics.net/pics/402450exo.png –  Sep 29 '14 at 11:48
  • I reask Lehs's question. How is the probability measure defined? Is $n=|G|$ fixed and you consider different group structures on the fixed set $G$? – Minimus Heximus Nov 05 '14 at 23:51
  • Question $b$ is trivial ? We just have to write the two set, right ? – Maman Sep 27 '15 at 13:18
  • Try http://mathoverflow.net/questions/211159/why-cant-a-nonabelian-group-be-75-abelian and http://mathoverflow.net/questions/125501/measures-of-non-abelian-ness. – lhf Dec 05 '16 at 01:55

1 Answers1

6

Well, this scanned proof is quite simple. The point is that for a non-abelian group, the center has index at least 4, and the centralizer of any non-central has index at least 2. Hence, if $n=|G|$, the number of commuting pairs is

$$\le |Z(G)||G|+(|G|-|Z(G)|)\frac{|G|}2\le \frac{n}4n+\frac{3n}4\frac{n}2=n^2(1/4+3/8)=\frac58n^2.$$

The proof provides obvious improvements. For instance if a finite non-abelian group $G$ has odd order (or more generally has no quotient of order 2), then the center has index at least 9, the centralizer of any non-central has index at least 3, and hence the number of commuting pairs is

$$\le |Z(G)||G|+(|G|-|Z(G)|)\frac{|G|}2\le \frac{n}9n+\frac{8n}9\frac{n}3=n^2(1/9+8/27)=\frac{11}{27}n^2.$$

YCor
  • 18,715