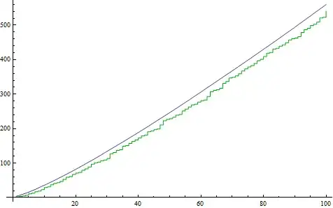
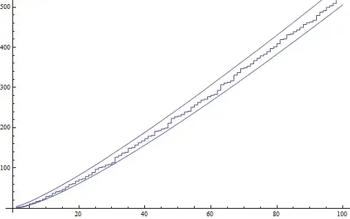
Let $p_n$ be the $n$th prime, $p_n\#\equiv\prod_{k=1}^{n}p_k$ (primorial), and $\sigma(n)=\sum_{d|n}^{}d$ (divisor function).
Does $\text{exp}\bigg(\dfrac{\pi^2}{6 e^{\gamma}}\dfrac{\sigma(p_n\#)}{p_n\#}\bigg)$ bound $p_n$ from above?
(Note: From Daniel Fischer's answer here.)

Update
... and from below by $\log(p_n\#)$?
