Let $p_n\#\equiv\prod_{k=1}^{n}p_k$ (primorial), and $\sigma(n)=\sum_{d|n}^{}d$ (divisor function).
Could someone please tell me what the general asymptotic of $\dfrac{\sigma(p_n\#)}{p_n\#}$ is? It looks like $O \log(n)$. Is there anything more precise?
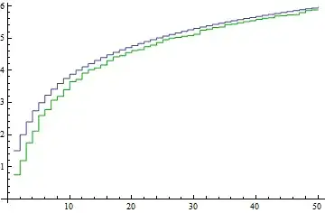
Update
Thank you to Daniel Fischer for his answer. Out of interest, I include the plot of $\dfrac{\sigma(p_n\#)}{p_n\#}$ against $\dfrac{6 e^{\gamma}}{\pi^2} \log p_n$. The primorial curve is surprisingly smooth though - why is this?
