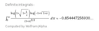
Another integral similar to my previous question: $$\int_0^\infty\frac{\ln\left(\sqrt{x+1\vphantom{x^0}}-1\right)\,\ln\left(\sqrt{x^{-1}+1}+1\right)}{(x+1)^{3/2}}dx$$ Can someone suggest how to evaluate it? Is there a closed form?
-
24I think it is about time to create closedform.stackexchange.com. – Julien Nov 23 '13 at 23:03
-
2This question is missing context or other details: Please improve the question by providing additional context, which ideally includes your thoughts on the problem and any attempts you have made to solve it. This information helps others identify where you have difficulties and helps them write answers appropriate to your experience level. – Carl Mummert Nov 25 '13 at 03:57
-
3In particular, please try to explain where you encountered this integral and why it is interesting to evaluate. – Carl Mummert Nov 25 '13 at 03:58
-
2On another forum, a very similar integral has been evaluated: See here .Your integral can be calculated using the same technique. – Shobhit Bhatnagar Feb 03 '14 at 11:30
-
1May I ask, what book you are solving or the source where you found these improper integrals? – Quasar Dec 28 '19 at 18:21
4 Answers
Yes, there is a closed form: $$\frac{\pi^2}3-\ln^22-4\,G,$$ where $G$ is the Catalan constant: $$G=-\int_0^1\frac{\ln x}{x^2+1}dx.$$
- 1
Is known that
\begin{cases} \int\limits_0^1 \dfrac {y\,\mathrm dy}{(1+y^2)^2} = \dfrac14\\ \int\limits_0^1 \ln y \dfrac {y\,\mathrm dy}{(1+y^2)^2} = -\dfrac{\ln2}4\\ \int\limits_0^1 \ln (1-y^2) \dfrac {y\,\mathrm dy}{(1+y^2)^2} = -\dfrac{\ln2}4\\ \int\limits_0^1 \ln (1+y) \dfrac {y\,\mathrm dy}{(1+y^2)^2} = \dfrac{\pi-2\ln2}{16}. \tag1\end{cases}
Substitution $$x=\dfrac{4y^2}{(1-y^2)^2},\quad \sqrt{x+1\mathstrut} = \dfrac{1+y^2}{1-y^2},\quad \sqrt{x^{-1}+1\mathstrut} = \dfrac{1+y^2}{2y},\quad y\in(0,1)$$
allows to write \begin{align} &I=\int_0^\infty\frac{\ln\left(\sqrt{x+1\large\mathstrut}-1\right)\,\ln\left(\sqrt{x^{-1}+1\large\mathstrut}+1\right)}{(x+1){\Large\!^{^{\normalsize\,^3/_2}}}}\mathrm dx\\[8pt] &=\int_0^1\ln\dfrac{2y^2}{1-y^2}\,\ln\dfrac{(1+y)^2}{2y}\,\dfrac{(1-y^2)^3}{(1+y^2)^3}\ \dfrac{8y(1-y^2)+16y^3}{(1-y^2)^3}\,\mathrm dy\\[8pt] &=8\int_0^1\left(\ln2+\ln\dfrac{y^2}{1-y^2}\right)\,\left(\ln2+\ln\dfrac{(1+y)^2}{4y}\right)\,\dfrac{y\ \mathrm dy}{(1+y^2)^2}\\ &=8\ln2\int_0^1\left(-\ln2+\ln y+2\ln(1+y)-\ln(1-y^2)\Large\mathstrut\right)\,\dfrac{y\ \mathrm dy}{(1+y^2)^2}\\ &+8\int_0^1\ln\dfrac{y^2}{1-y^2}\,\ln\dfrac{(1+y)^2}{4y}\,\dfrac{y\ \mathrm dy}{(1+y^2)^2}\\ &=(-2\ln2-2\ln2 +\pi-2\ln2+2\ln2)\ln2+8\int_0^1\ln\dfrac{y^2}{1-y^2}\,\ln\dfrac{(1+y)^2}{4y}\,\dfrac{y\ \mathrm dy}{(1+y^2)^2}, \end{align} $$I=(\pi-4\ln2)\ln2+I_1,\quad\text{where}\quad I_1=8\int_0^1\ln\dfrac{y^2}{1-y^2}\,\ln\dfrac{(1+y)^2}{4y}\,\dfrac{y\ \mathrm dy}{(1+y^2)^2}.\tag2$$
By parts: \begin{align} &I_1=8\int_0^1\,\ln\dfrac{(1+y)^2}{4y}\,\mathrm d\int_0^y\ln\dfrac{y^2}{1-y^2}\,\dfrac{y\ \mathrm dy}{(1+y^2)^2}\\[8pt] &=8\left.\left(\ln\dfrac{(1+y)^2}{4y}\,\int_0^y\ln\dfrac{y^2}{1-y^2}\,\dfrac{y\ \mathrm dy}{(1+y^2)^2}\right)\right|_{\,0}^{\,1}\\[8pt] &-8\int_0^1\,\left(\ln\dfrac{(1+y)^2}{4y}\right)'\left(\int_0^y\ln\dfrac{y^2}{1-y^2}\,\dfrac{y\mathrm dy}{(1+y^2)^2}\right)\mathrm dy\\[8pt] &= 0 - 2\int_0^1\,\left(\dfrac2{1+y}-\dfrac1y\right)\left(\dfrac{4y^2}{1+y^2}\ln y +\dfrac{1-y^2}{1+y^2}\ln(1-y^2) - \ln(1+y^2)\right)\,\mathrm dy\\[8pt] &=2\int_0^1\left(\dfrac{1-y}{y(1+y)}\left(\dfrac{4y^2}{1+y^2}\ln y +\dfrac{1-y^2}{1+y^2}\ln(1-y^2)\right)-\left(\dfrac2{1+y}-\dfrac1y\right) \ln(1+y^2)\right)\mathrm dy\\[8pt] &= 8\int_0^1\,\dfrac{y(1-y)}{(1+y)(1+y^2)}\ln y\,\mathrm dy +2\int_0^1\,\dfrac{(1-y)^2}{y(1+y^2)}\ln(1-y)\,\mathrm dy\\[8pt] &+2\int_0^1\,\dfrac{(1-y)^2}{y(1+y^2)}\ln(1+y)\,\mathrm dy -2\int_0^1\,\left(\dfrac1y-\dfrac2{1+y}\right)\ln(1+y^2)\,\mathrm dy \end{align} (see also Wolfram Alpha undefined integral).
At last - calculating of the remaining integrals and final summation: \begin{align} &I=\pi\ln2-4\ln^22 + 8\left(\dfrac{\pi^2}{12}-G\right) +2\left(2G-\dfrac\pi{12}(2\pi+3\ln2)\right)\\[4pt] &+2\,\dfrac\pi{12}(\pi-3\ln2) -2\left(\dfrac{\pi^2}{24} -2\left(\dfrac34\ln^2 2 - \dfrac{\pi^2}{48}\right)\right),\\[8pt] &\color{brown}{\boxed{\ \mathbf{I=\dfrac{\pi^2}3 - \ln^2 2 -4G \approx -0.85444\,72569.}\ \large\mathstrut}}\\ \end{align} (see also Wolfram Alpha 1st integral, 2nd integral, 3rd integral, 4th integral, 5th integral)
Obtained result corresponds with the exact value.
- 28,835
$$\small \mathcal I=\int_0^\infty\frac{\ln\left(\sqrt{1+x\vphantom{x^0}}-1\right)\,\ln\left(\sqrt{1+x^{-1}}+1\right)}{(1+x)^{3/2}}dx\overset{1+x=\frac{1}{t^2}}=2\int_0^1 \ln\left(\frac{1}{t}-1\right)\ln\left(\frac{1}{\sqrt{1-t^2}}+1\right)dt$$ $$\small \ln\left(\frac{1}{\sqrt{1-t^2}}+1\right)=\ln\left(1+\sqrt{1-t^2}\right)-\frac12 \ln(1-t^2)=\ln\left(\frac{1+\sqrt{1-t^2}}{t}\right)-\frac12 \ln\left(\frac{1}{t^2}-1\right) $$
$$\small \Rightarrow \mathcal I=2\int_0^1 \ln\left(\frac{1}{t}-1\right){\ln\left(\frac{1+\sqrt{1-t^2}}{t}\right)}dt-\int_0^1 \ln^2\left(\frac{1}{t}-1\right)dt-\int_0^1 \ln\left(\frac{1}{t}-1\right){\ln\left(\frac{1}{t}+1\right)}dt$$ The reason behind getting $\ln\left(\frac{1+\sqrt{1-t^2}}{t}\right)$ in the place of $\ln\left(\frac{1}{\sqrt{1-t^2}}+1\right)$ is that it's easier to work with the former when integrating by parts since it's derivative is just $-\frac{1}{t\sqrt{1-t^2}}$. $$\mathcal I=2\color{blue}{\mathcal I_1}-\color{green}{\mathcal I_2}-\color{red}{\mathcal I_3}=2\left(\color{blue}{\frac{3\pi^2}{8}-2G}\right)-\color{green}{\frac{\pi^2}{3}}-\left(\color{red}{\ln^2 2+\frac{\pi^2}{12}}\right)=\boxed{\color{chocolate}{\frac{\pi^2}{3}-\ln^2 2-4G}}$$
$$\color{blue}{\mathcal I_1}=\int_0^1 \left(t\ln\left(\frac{1}{t}-1\right)-\ln(1-t)\right)'\ln\left(\frac{1+\sqrt{1-t^2}}{t}\right) dt$$ $$\overset{IBP}=\int_0^1 \frac{\ln\left(\frac{1}{t}-1\right)}{\sqrt{1-t^2}}dt-\int_0^1 \frac{\ln(1-t)}{t\sqrt{1-t^2}}dt$$ $$\int_0^1 \frac{\ln\left(\frac{1}{t}-1\right)}{\sqrt{1-t^2}}dt\overset{t=\cos x}=\int_0^\frac{\pi}{2} \ln\left(\sec x-1\right)dx=\int_0^\frac{\pi}{2}\ln(1-\cos x)dx-\color{tomato}{\int_0^\frac{\pi}{2}\ln(\cos x)dx}$$ $$\overset{\color{tomato}{x\to \frac{\pi}{2}-x}}=\int_0^\frac{\pi}{2}\ln\left(1-\cos x\right)dx-\color{tomato}{\int_0^\frac{\pi}{2}\ln(\sin x)dx}=\int_0^\frac{\pi}{2} \ln\left(\frac{1-\cos x}{\sin x}\right)dx\overset{x\to 2t}=2\int_0^\frac{\pi}{4}\ln (\tan t)dt$$ $$\overset{\tan t=x}=2\int_0^1 \frac{\ln x}{1+x^2}dx=2\sum_{n=0}^\infty (-1)^n\int_0^1 x^{2n} \ln xdx=-2\sum_{n=0}^\infty \frac{(-1)^n}{(2n+1)^2}=\color{blue}{-2G}$$
$$\int_0^1 \frac{\ln(1-t)}{t\sqrt{1-t^2}}dt\overset{t=\sin x}=\int_0^\frac{\pi}{2} \frac{\ln(1-\sin x)}{\sin x}dx=-\color{blue}{\frac{3\pi^2}{8}}$$ Above follows by plugging $a=\frac{3\pi}{2}$ in here.
$$\color{green}{\mathcal I_2}=\int_0^1 \ln^2\left(\frac{1}{t}-1\right)dt=\int_0^\frac12 \left(\frac{1}{t}-1\to \frac1x\right)+\int_\frac12^1\left(\frac{1}{t}-1\to x\right)=2\int_0^1 \frac{\ln^2 x}{(1+x)^2}dx$$ $$=2\sum_{n=1}^\infty (-1)^{n-1}n\int_0^1 x^{n-1}\ln^2 x=4\sum_{n=1}^\infty \frac{(-1)^{n-1}}{n^2}=\color{green}{\frac{\pi^2}{3}}$$
$$\color{red}{\mathcal I_3}=\int_0^1 \left(t\ln\left(\frac{1}{t}-1\right)-\ln(1-t)\right)'\ln\left(\frac{1}{t}+1\right)dt\overset{IBP}=\int_0^1 \frac{t\ln\left(\frac{1}{t}-1\right)-\ln(1-t)}{t(1+t)}dt$$ $$=\int_0^1 \frac{\ln\left(\frac{1}{t}-1\right)}{1+t}dt+\int_0^1 \frac{\ln(1-t)}{1+t}dt-\underbrace{\int_0^1 \frac{\ln(1-t)}{t}dt}_{1-t=x}$$ $$t=\frac{1-x}{1+x}\Rightarrow \int_0^1\frac{\ln\left(\frac{1}{t}-1\right)}{1+t}dt=\int_0^1 \frac{\ln 2 +\ln x-\ln(1-x)}{1+x} dx$$ $$\require{cancel}\Rightarrow \color{red}{\mathcal I_3}=\int_0^1 \frac{\ln 2}{1+x}dx+\int_0^1\frac{\ln x}{1+x}dt-\cancel{\int_0^1 \frac{\ln(1-x)}{1+x}dx}+\cancel{\int_0^1 \frac{\ln(1-t)}{1+t}dt}-\int_0^1 \frac{\ln x}{1-x}dx$$ $$=\ln^2 2-\int_0^1 \frac{2x\ln x}{1-x^2}dx\overset{x^2=t}=\ln^2 2-\frac12\int_0^1 \frac{\ln t}{1-t}dt=\color{red}{\ln^2 2+\frac{\pi^2}{12}}$$
- 30,116
To evaluate $$ \int^{\infty}_{0}\frac{\log\left(\sqrt{x+1}-1\right)\log\left(\sqrt{1/x+1}+1\right)}{(x+1)^{3/2}}dx.\tag 1 $$ I will evaluate first $$ I(x)=\int\frac{\log\left(\sqrt{x+1}-1\right)\log\left(\sqrt{1/x+1}+1\right)}{(x+1)^{3/2}}dx\tag 2 $$ and then use limits to find the answer. The evaluation is based on Mathematica program (see Wolfram alpha...etc).
First write $$ I(x)=-2\int\log\left(\sqrt{x+1}-1\right)\log\left(\sqrt{1/x+1}+1\right)\frac{d}{dx}\left(\frac{1}{\sqrt{x+1}}\right)dx. $$ Then using integration by parts we find $$ I(x)=-\frac{2}{\sqrt{x+1}}\log\left(\sqrt{x+1}-1\right)\log\left(\sqrt{1/x+1}+1\right)+ $$ $$ +\int\frac{\log\left(1+\sqrt{1+\frac{1}{x}}\right)}{(1+x)(-1+\sqrt{1+x})}dx+\int\frac{(\sqrt{x^2+x}-x-1)\log\left(-1+\sqrt{1+x}\right)}{x(1+x)^{3/2}}dx= $$ $$ =-\frac{2}{\sqrt{x+1}}\log\left(\sqrt{x+1}-1\right)\log\left(\sqrt{1/x+1}+1\right)+ $$ $$ +\int\frac{\log\left(1+\sqrt{1+\frac{1}{x}}\right)}{(1+x)(-1+\sqrt{1+x})}dx +\int\frac{\log\left(-1+\sqrt{1+x}\right)}{(1+x)\sqrt{x}}dx -\int\frac{\log\left(-1+\sqrt{1+x}\right)}{x\sqrt{1+x}}dx\tag 3 $$ But all three integrals can evaluated with Mathematica and we write for $x>0$
$$ I_1(x)=\int\frac{\log\left(-1+\sqrt{1+x}\right)}{(1+x)\sqrt{x}}dx -\int\frac{\log\left(-1+\sqrt{1+x}\right)}{x\sqrt{1+x}}dx= 2\pi i\cot^{(-1)}(\sqrt{x})- $$ $$ -\frac{1}{2}\log\left(-1+\sqrt{1+x}\right)\left(\log 4+\log\left(-1+\sqrt{1+x}\right)-2\log\left(1+\sqrt{1+x}\right)\right)- $$ $$ -4i\cdot\textrm{Li}\left(2,\frac{1-i\sqrt{x}}{\sqrt{1+x}}\right)+i\cdot\textrm{Li}\left(2,1-\frac{2}{1+i\sqrt{x}}\right)+\textrm{Li}\left(2,\frac{1}{2}\left(1-\sqrt{1+x}\right)\right)+C_1.\tag 4 $$ Also if $y=1/x$, then $$ I_2(x)=\int\frac{\log\left(1+\sqrt{1+\frac{1}{x}}\right)}{(1+x)(-1+\sqrt{1+x})}dx=-\int\frac{\log\left(1+\sqrt{1+y}\right)}{y+1}dy-\int\frac{\log(1+\sqrt{1+y})}{\sqrt{y(y+1)}}dy= $$ $$ =-4i\log( x)\arcsin\left(\sqrt{\frac{1}{2}\left(1+\sqrt{1+x^{-1}}\right)}\right)- $$ $$ -4\arcsin\left(\frac{1}{2}\left(1+\sqrt{1+x^{-1}}\right)\right)^2+\log(x)\log\left(1+\sqrt{1+x^{-1}}\right)- $$ $$ -2\pi i \log\left(1+\sqrt{1+x^{-1}}\right)-2\log\left(1+\sqrt{1+x^{-1}}\right)\log\left(1+\sqrt{1+x}\right)+ $$ $$ 8i\arcsin\left(\sqrt{\frac{1}{2}\left(1+\sqrt{1+x^{-1}}\right)}\right)\log\left(-1+\sqrt{x}+\sqrt{1+x}\right)+ $$ $$ +2\textrm{Li}\left(2,-\sqrt{1+x^{-1}}\right)-4\textrm{Li}\left(2,-\frac{1}{\sqrt{x}}\left(-1+\sqrt{1+x}\right)\right) $$ Hence $$ I(x)=I_1(x)+I_2(x) $$ and we can see easily using Mathematica that $$ \lim_{x\rightarrow\infty}I(x)=-4G-\left(1-\frac{i}{4}\right)\pi^2+2\pi i \log 2-\frac{1}{2}\log^22 $$ Also $$ \lim_{x\rightarrow0}I(x)=\left(-\frac{4}{3}+\frac{i}{4}\right)\pi^2+2\pi i\log 2+\frac{1}{2}\log^22 $$ Hence $$ \int^{\infty}_{0}\frac{\log\left(\sqrt{x+1}-1\right)\log\left(\sqrt{1/x+1}+1\right)}{(x+1)^{3/2}}dx=-4G+\frac{\pi^2}{3}-\log^22 $$ QED
- 7,436
