6

While I am reading some books about analysis, i found that the definitions used for the notion of the limit from the right and the limit from the left are not always the same in all the references. Some references give the definitions as follows:enter image description here

Note that the definition above takes in accounting that $x$ may take the value of $a$ which guarantee the equivalence given in the following theorem:

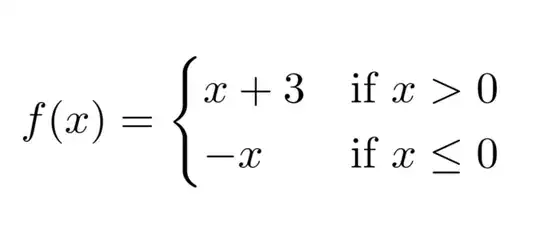
enter image description here Whereas some other references use the following definitions: enter image description here but in this case the previous theorem will not hold, we can for example define a function $f$ to be $1$ at $x_{0}=0$ and to be $x$ at $x\neq0$, the limit from the right and the limit from the left at $0$ for this function will $0$ but $f$ doesn't have a limit! and if we choose the first definition then I think that many examples have been solved in the wrong way, for instance let's take the following function: enter image description here usually we say that the limit from the right of $0$ is $3$ but in fact if we apply the first definition we will find that the limit from the right of $0$ doesn't exist! Do you have any suggestions to deal with this situation?

  • 1
    The first definition forces $f(a) = \ell$, right? That seems incorrect or not standard. The value of $f$ at $a$ is not supposed to matter. Maybe some authors use a different convention than what I’m used to. – littleO Feb 17 '23 at 02:48
  • Si tu appliques la première définition tu trouves bien $3$ à droite et $0$ à gauche car $\eta$ est positif dans ta première définition. – EDX Feb 17 '23 at 02:58
  • If $f(0)=0$ and $f(x)=x$ when $x\neq0,$ (the function $f$ that you say doesn't have a limit), then $f(x)=x$ for all $x$, and $f$ is a continuous function everywhere with a limit everywhere. – David K Feb 17 '23 at 04:50
  • 2
    @littleO I think I've seen this different convention pop up on MSE before. It seems to be designed to provide a definition of a continuous function and not much else that I can think of. – David K Feb 17 '23 at 04:54
  • 1
    It depends on what your definition of limit is in the first place. Do you use $0 < |x-a| < \delta$ or just $|x-a| < \delta$? Some related questions: https://math.stackexchange.com/questions/2768350/french-limits-are-different, https://math.stackexchange.com/questions/3298744/mistake-in-french-wikipedia-on-definition-of-limit, https://math.stackexchange.com/questions/1794652/deleted-versus-non-deleted-limits – Hans Lundmark Feb 17 '23 at 07:35

1 Answers1

2

First, you must realise there is no such thing as the “real”/“right” definition of a maths concept. Just like there is no real French (Sorry to you Académie Française). A standard / norm / commonly accepted definition is no more real than another.

As the OP of French limits are different !, I have done some research, quick rundown :

After WW2, the French school system is heavily criticised as elitist.

After several unsuccessful attempts, A committee (Lichnerowicz, named after André Lichnerowicz) is formed and starts working on the matter. Note that we are now approaching 1968, and the cultural changes of the era in France were massive. It was a time of societal reform.

It was structured with the following principles and ambition:

  1. Mathematics is a deductive science, not an experimental science. It is therefore necessary to give priority to a logical presentation of the different mathematical concepts, so as to eliminate anything that could be based on intuition or a supposedly obvious fact.

  2. Mathematics forms a unified theory : La Mathématique singular, which must lead to modern maths, hence the name of the reform (maths modernes). Mathematical notions that do not lead to contemporary mathematical concepts or techniques are excluded.

The ambition of these new programmes is to teach students to differentiate between the physical world and its mathematical model, and to teach top-notch concepts:

Whenever there is a risk of confusion, a distinct terminology will be used for concrete objects and their mathematical model

They have then decided to start formalising geometry the hard way : Don't you believe me? Here is a definition from the Circular n°71 370 of the Ministry of Education (quatrième around 15yo, 1972):

A line is defined as a set D of elements called points equipped with a bijection $g$ from D to $\mathbf R$ and the set of all bijections satisfying $f(x) =g(x) \pm a$ where $a$ is an arbitrary real number. If M and M' are two points of D, the quantity $d(\mathrm M,\mathrm M')= |f(\mathrm M)-f(\mathrm M')|$ is independent of the choice of $f$ and therefore depends only on the structure of D. It is called the distance from $\mathrm M$ to $\mathrm M'$.

As another example, inspectors in the ministry wondered if they should teach filter bases to 18yo terminales. Henri Cartan himself had to convince them not to.

In the 1980s, given the failure of the reform, some efforts were made to simplify, which led in particular to the proof that continuity is stable under composition. They noted that if you remove the $\delta\neq0$ requirement, then such proof becomes easier. This difference is still present today.

T.D
  • 811