2

Let $F(x,t)$ and $G(x,t)$ be two flows on $\mathbb{R}^d$ associated to the vector fields $f(x)$ and $g(x)$, respectively. Assume $F$ and $G$ are conjugate in the sense that there exists a homeomorphism, $h$, such that $$\tag{*} G(x,t) = h^{-1}(F(h(x),t))$$

for all $x,t$. The relation $(*)$ is nice but it's often easier to work directly with vector fields than it is with their flows. So, my question is:

Is there a simple relationship between $f$ and $g$ given (*)?

Edit: We can also assume $h$ is a diffeomorphism if necessary.

MRicci
  • 1,652
  • 1
    Recall that $f(x) = \left.\frac{d}{dt}\right|_{t=0}F(x,t)$ and similarly for $G$. Can you go on from there in case $h$ is a diffeomorphism? – Didier May 05 '22 at 11:34
  • My confusion is that, assuming I remember how do calculus, the chain rule gives terms like $\frac{dh}{dx}\frac{dx}{dt}$ and I'm unsure whether or not $\frac{dx}{dt} = f(x)$ or $g(x)$. The former would yield something like $g(x) = \frac{dh^{-1}}{dx}f^2(x)f(h(x))\frac{dh}{dx}.$ – MRicci May 06 '22 at 07:06
  • 1
    This is not exactly the result. I would rather use $\partial_t G(x,y) = d_{F(x,t)}h^{-1} \circ \partial_t F(h(x),t)$ and evaluate at $t=0$. – Didier May 06 '22 at 07:35
  • In that case I'd say that $g(x) = \frac{d h^{-1}}{dx} \circ f(h(x))$ by arguing that $\partial_t(F(h(x),t))|_{t=0} = f(h(x))$ and $\frac{dh^{-1}}{dF(x,0)} = \frac{dh^{-1}}{dx}$. – MRicci May 06 '22 at 08:54
  • Also, I take by $\circ$ you mean multiplication? That's how I imagine the chain rule working here. – MRicci May 07 '22 at 13:15
  • @MRicci: there might be many more relationships between $f$ and $g$, but if $h$ is a homeomorphism, then, the cardinality of the crtitical points of $f$ equals that of the critical points of $g$. If $h$ is a diffeo, than the stability of each critical point of $f$ is similar to that of $g$ (in a sense, and loosely speaking, $f$ and $g$ are locally similar). Same for the attractors of each dynamical system. But, there might be more.... – Augusto Santos May 07 '22 at 14:30
  • @MRicci This is the composition of linear maps. The chain rule says that if $f$ and $g$ are differentiable, then $d_x(g\circ f) = d_{f(x)}g \circ d_xf$. It coincides with multiplication in case you identify linear maps with matrices. Also, there was a typo in my last comment: the correct equality is $\partial_tG(x,t) = d_{F(h(x),t)}h^{-1} \left( \partial_t F(h(x),t)\right)$. When evaluated at $t=0$, this yields $g(x) = d_{h(x)}h^{-1}\left( f(h(x)\right)$. You can make it shorter by noticing that $d_{h(x)}h^{-1} = (d_xh)^{-1}$. – Didier May 07 '22 at 16:46
  • You can show that the map $h$ that satisfies in $G(x, t) = h(F(h^{-1}(x), t))$ equivalently should satisfy in $Dh \circ f = g \circ h$. – Master.AKA Apr 20 '23 at 16:09

1 Answers1

6

As Didier commented above, in the diffeomorphism case there is a simple relationship; I would like to highlight the "space of vector fields is the Lie algebra of the diffeomorphism group" perspective (see Is there an infinite dimensional Lie group associated to the Lie algebra of all vector fields on a manifold? , Is there a way to associate a Lie algebra to the group of diffeomorphisms?):

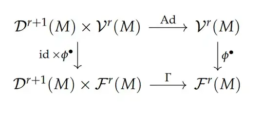
Let $M$ be a $C^\infty$ manifold, for brevity assume $M$ is compact (otherwise (e.g. in the case of $M=\mathbb{R}^d$ as in the OP) one could focus on compactly supported vector fields and diffeomorphisms, or simply use local flows (or reparametrize local flows to get global flows (see the Hart paper mentioned below), ...). Denote by $\mathcal{V}^r(M),\mathcal{F}^r(M), \mathcal{D}^r(M)$ the spaces of $C^r$ ($r\in\mathbb{Z}_{\geq1}\cup\{\infty\}$) vector fields, flows (i.e. $\mathbb{R}$-actions), and diffeomorphisms, respectively. $\mathcal{D}^r(M)$ acts on $\mathcal{F}^r(M)$ by conjugation:

$$\Gamma:\mathcal{D}^r(M)\times\mathcal{F}^r(M)\to \mathcal{F}^r(M),\,\, (f,\phi_\bullet)\mapsto [(t,x)\mapsto f\circ\phi_t\circ f^{-1}(x)].$$

$\mathcal{D}^r(M)$ acts on $\mathcal{V}^{r-1}(M)$ by the adjoint operator:

$$\operatorname{Ad}:\mathcal{D}^r(M)\times\mathcal{V}^{r-1}(M)\to \mathcal{V}^{r-1}(M),\,\, (f,X)\mapsto Tf\circ X\circ f^{-1}.$$

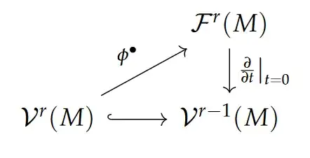
Evaluating the time derivative at $0$ gives a map $\left.\frac{\partial}{\partial t}\right|_{t=0}:\mathcal{F}^r(M)\to \mathcal{V}^{r-1}(M)$:

$$[\phi: \mathbb{R}\times M\to M]\mapsto \left[M\to TM,\,\,x\mapsto \left.\dfrac{\partial\phi}{\partial t}\right|_{t=0}(t,x)\right],$$

and conversely the Existence and Uniqueness Theorem in ODE's says that there is a unique map $\phi^\bullet:\mathcal{V}^r(M)\to \mathcal{F}^r(M)$ such that

$$\left.\dfrac{\partial \phi^X}{\partial t}\right|_{t=0}(t,x)=X(x).$$

(Note that the notation $\phi^X(t,x)=\exp(tX)(x)$ is also in use; compare Why is the domain of the exponential function the Lie algebra and not the Lie group?)

Thus we have:

enter image description here

Claim: If $X\in\mathcal{V}^r(M)$ and $f\in\mathcal{D}^{r+1}(M)$, then $\left.\dfrac{\partial}{\partial t}\right|_{t=0}\Gamma_f(\phi^X)=\operatorname{Ad}_f(X)\in\mathcal{V}^r(M)$, or equivalently, $\phi^{\operatorname{Ad}_f(X)}=\Gamma_f(\phi^X)\in\mathcal{F}^r(M)$.

Proof:

\begin{align*} \left.\dfrac{\partial}{\partial t}\right|_{t=0}\Gamma_f(\phi^X)(x) &=\left.\dfrac{\partial}{\partial t}\right|_{t=0}f(\phi^X(t,f^{-1}(x)))\\ &= T_{\phi^X(0,f^{-1}(x))}f \,\,\,\left.\dfrac{\partial\phi^X}{\partial t}\right|_{t=0}(t,f^{-1}(x)))\\ &= T_{f^{-1}(x)}f\,\, X(f^{-1}(x)) =Tf\circ X\circ f^{-1}(x) =\operatorname{Ad}_f(X)(x). \end{align*}

Thus we have a diagram

enter image description here


In the case when the conjugation is by a homeomorphism for obvious reasons the above does not work. Indeed, in this case the conjugacy may break all infinitesimal structure, and it is reasonable to look at other properties that are invariant; e.g. under a topological conjugacy the time durations of corresponding periodic orbits will be the same. Similarly limit sets will be preserved. In fact, that there is no such simple relation in the homeomorphism case can be considered as one of the reasons why dynamics is interested in topological conjugacy (or other versions of it, like topological conjugacy on nonwandering sets, or orbit equivalence (where the equivalence does not necessarily preserve the time parameter)); differentiable conjugacy is too rigid. (See Smale's "Differentiable Dynamical Systems" (pp.748-749) of Hirsch, Smale & Devaney's Differential Equations, Dynamical Systems, and an Introduction to Chaos (3e) (p.66) for more on this point.) It is also interesting to consider which properties of a differentiable conjugacy would allow one to upgrade a topological conjugacy (this is the study of "moduli of conjugacy" or "moduli of stability", e.g. see Palis' "A Differentiable Invariant of Topological Conjugacies and Moduli of Stability").


Let me also mention a result by Hart that fits well into the framework above. Note that in general we have the following regularity relations (for $p,q,r,s\in\mathbb{Z}_{\geq1}\cup \{\infty\}$):

$$\Gamma:\mathcal{D}^r(M)\times\mathcal{F}^p(M)\to \mathcal{F}^{\min\{r,p\}}(M),$$

$$\operatorname{Ad}:\mathcal{D}^s(M)\times\mathcal{V}^q(M)\to \mathcal{V}^{\min\{s-1,q\}}(M).$$

As mentioned above one can differentiate a flow in the time variable to get a vector field, but the regularity may drop. Indeed if $X\in \mathcal{V}^q(M)$ and $f\in\mathcal{D}^q(M)\setminus \mathcal{D}^{q+1}(M)$, then $\operatorname{Ad}_f(X)\in \mathcal{V}^{q-1}(M)\setminus \mathcal{V}^q(M)$, but the flow of this vector field (based on the above calculation) is $\phi^{\operatorname{Ad}_f(X)}=\Gamma_f(\phi^X)\in\mathcal{F}^q(M)$; so that we have a $C^q$ flow whose generator is not $C^q$.

Theorem (Hart): Let $M$ be a $C^\infty$ manifold (not necessarily compact). For any $\phi\in\mathcal{F}^r(M)$ and for any $\epsilon\in\mathbb{R}_{>0}$, there is a $g\in\mathcal{D}^r(M)$ such that $d_{C^r}(g,\operatorname{id}_M)<\epsilon$ and $\left.\frac{\partial}{\partial t}\right|_{t=0} \Gamma_g(\phi)\in\mathcal{V}^r(M)$.

(See Hart's paper "On the Smoothness of Generators" for this and an analogous result for foliations; $d_{C^r}$ is the distance of uniform $C^r$ convergence on compact subsets; see e.g. Hirsch's Differential Topology vs Rudin Functional analysis definition of weak and strong topology.)

Alp Uzman
  • 12,209