Find a closed form for the following determinant:

I have tried solving it similar to the normal Vandermonde determinant but when you multiply $1+a_1$ by $a_1$ there appears an extra $a_1$ that destroyes this idea
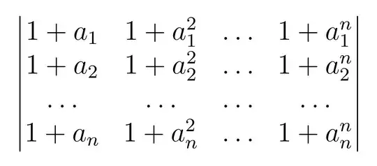
Let $$D_n = \begin{vmatrix} 1+a_1 & 1+ a_1^2 & \cdots & 1+a_1^n\\ 1+a_2 & 1+ a_2^2 & \cdots & 1+a_2^n\\ \cdots & \cdots & \cdots & \cdots\\ 1+a_n & 1+ a_n^2 & \cdots & 1+a_n^n \end{vmatrix}$$
We begin by substracting the $n-1$-th column to the $n$-th, then the $n-2$-th to the $n-1$-th, then the $n-3$-th to the $n-2$-th, and so on, until substracting the first column to the second. This gives $$D_n = \begin{vmatrix} 1+a_1 & a_1(a_1-1) & \cdots& a_1^{n-2}(a_1-1) & a_1^{n-1}(a_1-1)\\ 1+a_2 & a_2(a_2-1) & \cdots& a_2^{n-2}(a_2-1) & a_2^{n-1}(a_2-1)\\ \cdots & \cdots & \cdots & \cdots\\ 1+a_n & a_n(a_n-1) & \cdots& a_n^{n-2}(a_n-1) & a_n^{n-1}(a_n-1) \end{vmatrix}$$ So you get $$D_n = \begin{vmatrix} 2+(a_1-1) & a_1(a_1-1) & \cdots& a_1^{n-2}(a_1-1) & a_1^{n-1}(a_1-1)\\ 2+(a_2-1) & a_2(a_2-1) & \cdots& a_2^{n-2}(a_2-1) & a_2^{n-1}(a_2-1)\\ \cdots & \cdots & \cdots & \cdots\\ 2+(a_n-1) & a_n(a_n-1) & \cdots& a_n^{n-2}(a_n-1) & a_n^{n-1}(a_n-1) \end{vmatrix} = A_n + B_n$$
where $$A_n = \begin{vmatrix} 2 & a_1(a_1-1) & \cdots& a_1^{n-2}(a_1-1) & a_1^{n-1}(a_1-1)\\ 2 & a_2(a_2-1) & \cdots& a_2^{n-2}(a_2-1) & a_2^{n-1}(a_2-1)\\ \cdots & \cdots & \cdots & \cdots\\ 2 & a_n(a_n-1) & \cdots& a_n^{n-2}(a_n-1) & a_n^{n-1}(a_n-1) \end{vmatrix}$$ $$\text{and} \quad B_n = \begin{vmatrix} a_1-1 & a_1(a_1-1) & \cdots& a_1^{n-2}(a_1-1) & a_1^{n-1}(a_1-1)\\ a_2-1 & a_2(a_2-1) & \cdots& a_2^{n-2}(a_2-1) & a_2^{n-1}(a_2-1)\\ \cdots & \cdots & \cdots & \cdots\\ a_n-1 & a_n(a_n-1) & \cdots& a_n^{n-2}(a_n-1) & a_n^{n-1}(a_n-1) \end{vmatrix} = V(a_1, ..., a_n)\prod_{k=1}^n (a_k-1)$$
(where $V(a_1, ..., a_n)$ is the classical Vandermonde determinant)
It remains to determine $A_n$. By developping the determinant along the first column, one has $$A_n = 2 \sum_{i=1}^n (-1)^{i+1} V(a_1, ..., \widehat{a_i}, ..., a_n)\prod_{k=1 \\ k \neq i}^n a_k(a_k-1)$$
where $V(a_1, ..., \widehat{a_i}, ..., a_n)$ denotes the Vandermonde determinant of the family $\lbrace a_1, ..., a_n \rbrace \setminus \lbrace a_i \rbrace$.
All put together, you get that $$\boxed{D_n = 2 \sum_{i=1}^n (-1)^{i+1} V(a_1, ..., \widehat{a_i}, ..., a_n)\prod_{k=1 \\ k \neq i}^n a_k(a_k-1) + V(a_1, ..., a_n)\prod_{k=1}^n (a_k-1)}$$
which can (possibly) be simplified further.