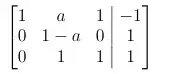
And they are asking for which values where a is missing solutions: And they are also asking for which values when a has inifinite many solutions. I have solved both cases with help of Gaussian:
and you can clearly see that when $1 - a = 1$ and that we have $a = 1$ it becomes $0 = a$ so when $a$ is $1$ the system is missing solutions.
but i also took the $\det(A)$ of the matrix and then i got this below:
But the thing is that when the determinant is equal to 0 the matrix should have inifinite
solutions and that is when $a$ is equal to $-1$ but it is also becomming $0$ when a is equal to $1$.
The thing is that when $a = 1$ it should not have any solutions but the determinant is also becomming zero after calculating the determinant i am very confused?? Can a such Matrix exist when we have a value that also says we have no solutions and on the same time also says that we have inifite many solutions when we calculate the determinant??

