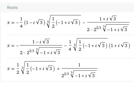
The function $f (x) = 8x^3-6x + 1$ has three real roots as it is easy to check (a quick way is to see the graph of f). However, Wolfram gives the following exact values as roots:
There is no Wolfram error here because if asked for approximate root values, it gives the real numbers $-0.93969,0.17365$ and $0.76604$.
In sum, each of the three exact values when simplified must give a real number. I have tried to find at least one of these three values but it was not possible in a first attempt. Can someone describe a method to do it?
