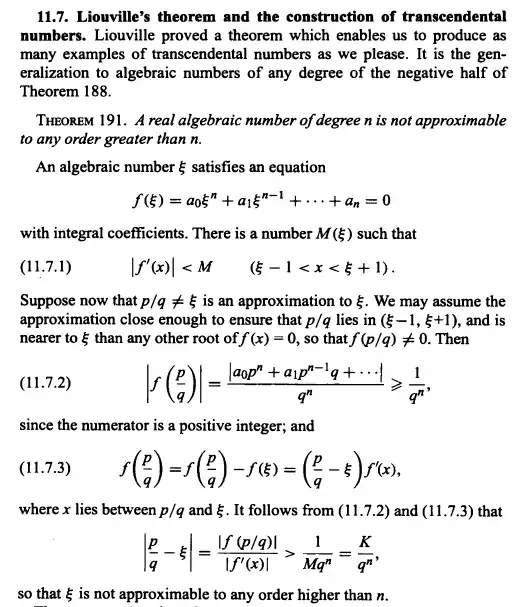
I've been trying to understand the proof of Liouville's theorem given in "Intro to Theory of Numbers"- G.H. Hardy et al. and not able to understand few steps. The proof snippet is attached.

Can someone please help me understand the following a) How does the author conclude "there is a number $M(\epsilon)$ such that $|f^\prime(x)|< M \quad \epsilon -1 < x < \epsilon$"?
b) In the last line of the proof, he says that $\epsilon$ is not approximable to any order higher than n. But $p/q$ is an approximation of $\epsilon$. So with larger values of $n$, the lower bound should not hold. Maybe I'm not able to understand the conclusion this theorem wanted to prove in the first place.