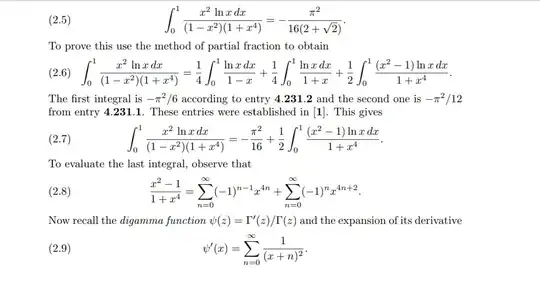
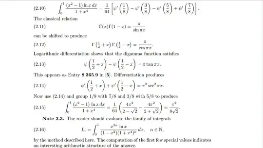
12

Question:- Find ${I_{n}=\int_{0}^{1}\frac {x^{2n}\ln x}{{(1-x^2)}{(1+x^4)^n}}dx{,n} \in N}$

Recently I asked a similar question $\int_{0}^{1}\frac {x^2\ln x}{{(1-x^2)}{(1+x^4)}}dx=\frac{-π^2}{16(2+\sqrt{2})}$

Below the above question a note is written as follows:

'The reader should evaluate the family of integrals ${I_{n}=\int_{0}^{1}\frac {x^{2n}\ln x}{{(1-x^2)}{(1+x^4)^n}}dx{,n} \in N}$ .The computation of the first few special values indicates an interesting arithmetic structure of the answer.’

I don't know how to tackle ${I_{n}}$ till now.

enter image description here

enter image description here

Edit:- Here is the link for above document http://emmy.uprrp.edu/lmedina/papers/part27/final27.pdf

I have searched all the references mentioned in above document but found nothing related to above integral.We might have to look values for different values of $n$ instead of finding integral for general $n$.

Paras
  • 1,472

2 Answers2

13

$$ I_n = \int_0^1\frac{\log x}{1-x^2} \cdot \frac{x^{2n}}{(1+x^4)^n} dx$$

Note that $\dfrac{x^{2n}}{(1-x^2)(1+x^4)^n}$ is written as $$ \frac{x^{2n}}{(1-x^2)(1+x^4)^n} = \frac{1}{2^{n}}\cdot \frac{1}{1-x^2} -\frac{1}{2^n} \cdot \frac{p_n(x)}{(1+x^4)^n}$$ where $p_n$ is some polynomial satisfying \begin{align*} p_n(x) &= \frac{ (1+x^4)^n - 2^n x^{2n}}{ (1-x^2)}\\ & =\begin{cases} \frac{1}{1-x^2} \cdot \sum_{j = 0}^{(n-1)/2} \binom{n}{j}\left(x^{4j} -2x^{2n} + x^{4n-4j}\right) & \text{for $n$ odd}\\ \frac{1}{1-x^2} \cdot \sum_{j = 0}^{n/2-1} \binom{n}{j}\left(x^{4j} -2x^{2n} + x^{4n-4j}\right) & \text{for $n$ even} \end{cases}\\ & = \sum_{j = 0}^{\lfloor (n-1)/2 \rfloor} \binom{n}{j} \frac{x^{4j} -2x^{2n} + x^{4n-4j}}{1-x^2} \end{align*}

Note that $x^{4j} - 2x^{2n} + x^{4n-4j} = (x^{2j} - x^{2n-2j})^2 = x^{4j} (1 - x^{2n-4j})^2$, so \begin{align*} \frac{x^{4j} - 2x^{2n} + x^{4n-4j}}{1-x^2} &= (x^{4j}-x^{2n})\cdot \frac{1-x^{2n-4j}}{1-x^2} \\ & = (x^{4j}-x^{2n})\cdot (1 + x^2 + \cdots + x^{2n-4j-2}) \\ & = (x^{4j} + x^{4j+2} + \cdots + x^{2n-2}) - (x^{2n} + x^{2n+2} + \cdots + x^{4n-4j -2})\\ & = \sum_{k = 2j}^{n-1}(x^{2k} - x^{4n - 2k -2}) \end{align*} Consider the following integral $$J(n,k) = \int_0^1\frac{x^{2k} - x^{4n-2k-2}}{(1+x^4)^n}\log(x) dx$$ which is defined for $n\ge 1$ and $0 \le k \le n-1$. Then we have \begin{align*}2^n I_n & = \int_0^1\frac{\log x}{1-x^2} dx - \int_0^1 \frac{p_n(x)}{(1+x^4)^n}\log x dx \\ & =-\frac{\pi^2}{8} - \int_0^1 \sum_{j = 0}^{\lfloor (n-1)/2\rfloor} \binom{n}{j}\frac{x^{4j} -2x^{2n} + x^{4n-4j}}{(1-x^2)(1+x^4)^n}\log x dx \\ & =-\frac{\pi^2}{8} -\sum_{j = 0}^{\lfloor (n-1)/2\rfloor} \binom{n}{j} \int_0^1 \frac{x^{4j} -2x^{2n} + x^{4n-4j}}{(1-x^2)(1+x^4)^n} \log x dx \\ & =-\frac{\pi^2}{8} -\sum_{j = 0}^{\lfloor (n-1)/2\rfloor} \binom{n}{j} \int_0^1 \frac{1}{(1+x^4)^n} \sum_{k=2j}^{n-1} (x^{2k} - x^{4n-2k-2}) \log x dx \\ & =-\frac{\pi^2}{8} -\sum_{j = 0}^{\lfloor (n-1)/2\rfloor} \binom{n}{j} \sum_{k=2j}^{n-1} \int_0^1 \frac{x^{2k} - x^{4n-2k-2}}{(1+x^4)^n} \log x dx \\ & = -\frac{\pi^2}{8} -\sum_{j = 0}^{\lfloor (n-1)/2\rfloor} \binom{n}{j} \sum_{k=2j}^{n-1} J(n, k) \end{align*} so we are reduced to find $J(n, k)$ values.

\begin{align*} J(n, k) & = \int_0^1 \frac{x^{2k}}{(1+x^4)^n}\log x dx - \int_0^1 \frac{x^{4n-2k-2}}{(1+x^4)^n} \log x dx \\ & \stackrel{ x= 1/u}{=} \int_0^1 \frac{x^{2k}}{(1+x^4)^n}\log x dx - \int_\infty^1 \frac{u^{-4n+2k+2}}{(1+u^{-4})^n} \log u\frac{du}{u^2}\\ & = \int_0^1 \frac{x^{2k}}{(1+x^4)^n}\log x dx +\int_1^\infty \frac{u^{2k}}{(1+u^{4})^n} \log udu \\ & =\int_0^\infty \frac{x^{2k}}{(1+x^4)^n}\log x dx \\ \end{align*}

We have \begin{align*} \int_0^\infty \frac{x^{a}}{(1+x^4)^n} dx & \stackrel{x^4 = w}{=} \frac{1}{4} B\left(\frac{a+1}{4}, n - \frac{a+1}{4}\right)\\ & = \frac{\Gamma\left(\frac{a+1}{4}\right) \Gamma\left(n - \frac{a+1}{4} \right)}{4\Gamma(n)} \end{align*} so \begin{align*} \frac{d}{da}\int_0^\infty \frac{x^{a}}{(1+x^4)^n} dx & = \int_0^\infty \frac{\partial}{\partial a} \frac{x^{a}}{(1+x^4)^n} = \int_0^\infty \frac{x^{a}\log x}{(1+x^4)^n} dx \\ & = \frac{1}{4 \Gamma(n)} \frac{d}{da}\left( \Gamma\left(\frac{a+1}{4}\right) \Gamma\left( n - \frac{a+1}{4}\right)\right) \\ & = \frac{1}{4 \Gamma(n)} \left( \Gamma\left( \frac{a+1}{4}\right) \frac{d}{da} \Gamma\left(n - \frac{a+1}{4} \right) + \Gamma\left(n - \frac{a+1}{4} \right) \frac{d}{da} \Gamma\left( \frac{a+1}{4}\right) \right) \\ & = \frac{\Gamma\left( \frac{a+1}{4}\right) \Gamma\left(n - \frac{a+1}{4} \right) }{16 \Gamma(n)} \left( \psi \left(\frac{a+1}{4}\right) - \psi \left(n - \frac{a+1}{4}\right) \right) \\ \end{align*} For convenience let $\alpha = \frac{a+1}{4}$ and proceed as \begin{align*} \frac{d}{da} \int_0^\infty \frac{x^a}{(1+x^4)^n} dx & =\frac{\Gamma\left( \alpha\right) \Gamma\left(n - \alpha \right) }{16 \Gamma(n)} \left( \psi(\alpha) - \psi (n - \alpha)\right) \\ %& =\frac{\Gamma\left( \alpha\right) \Gamma\left(n - \alpha \right) }{16 \Gamma(n)} \left( \psi(\alpha) - \psi (1 - \alpha) - \frac{1}{1-\alpha} - \frac{1}{2-\alpha} - \cdots - \frac{1}{n-1-\alpha} \right) \\ & =\frac{\Gamma\left( \alpha\right) \Gamma\left(n - \alpha \right) }{16 \Gamma(n)} \left( \psi(\alpha) - \psi (1 - \alpha) - \sum_{m=1}^{n-1}\frac{1}{m-\alpha} \right) \\ & = -\frac{\Gamma\left( \alpha\right) \Gamma\left(n - \alpha \right) }{16 \Gamma(n)} \left( \pi \cot \pi \alpha + \sum_{m=1}^{n-1}\frac{1}{m-\alpha} \right) \\ & = -\frac{\Gamma\left( \alpha\right) \Gamma\left(1 - \alpha \right) }{16 \Gamma(n)} \left( \pi \cot \pi \alpha + \sum_{m=1}^{n-1}\frac{1}{m-\alpha} \right)\left( (n-1 - \alpha) \cdots (1-\alpha)\right)\\ & = -\frac{\pi \csc \pi \alpha}{16(n-1)!} \left( \pi \cot \pi \alpha + \sum_{m=1}^{n-1}\frac{1}{m-\alpha} \right)\prod_{m=1}^{n-1}(m-\alpha)\\ \end{align*} Finally we have \begin{align*} J(n, k) & = -\frac{\pi \csc \frac{\pi(2k+1)}{4}}{16(n-1)!} \left( \pi \cot \frac{\pi(2k+1)}{4}+ \sum_{m=1}^{n-1}\frac{1}{m-\frac{2k+1}{4}} \right)\prod_{m=1}^{n-1}\left(m-\frac{2k+1}{4}\right) \\ & = -\frac{\pi \sqrt{2} (-1)^{\lfloor k/2 \rfloor}}{16(n-1)!} \left( \pi (-1)^k+ \sum_{m=1}^{n-1}\frac{1}{m-\frac{2k+1}{4}} \right)\prod_{m=1}^{n-1}\left(m-\frac{2k+1}{4}\right) \end{align*}

and \begin{align*} 2^n I_n &=-\frac{\pi^2}{8} -\sum_{j = 0}^{\lfloor (n-1)/2\rfloor} \binom{n}{j} \sum_{k=2j}^{n-1} J(n, k) \\ & = -\frac{\pi^2}{8} +\sum_{j = 0}^{\lfloor (n-1)/2\rfloor} \binom{n}{j} \sum_{k=2j}^{n-1} \frac{\pi \sqrt{2} (-1)^{\lfloor k/2 \rfloor}}{16(n-1)!} \left( \pi (-1)^k+ \sum_{m=1}^{n-1}\frac{1}{m-\frac{2k+1}{4}} \right)\prod_{m=1}^{n-1}\left(m-\frac{2k+1}{4}\right) \\ & = -\frac{\pi^2}{8} +\frac{\sqrt{2}\pi n}{16}\sum_{j = 0}^{\lfloor (n-1)/2\rfloor} \frac{1}{j!(n-j)!} \sum_{k=2j}^{n-1} (-1)^{\lfloor k/2 \rfloor} \left( \pi (-1)^k+ \sum_{m=1}^{n-1}\frac{1}{m-\frac{2k+1}{4}} \right)\prod_{m=1}^{n-1}\left(m-\frac{2k+1}{4}\right) \end{align*}

Which is verified for some $n$'s by Mathematica.

I want to figure out the 'interesting arithmetic structure' but I cannot see. Can anybody simplify this to illuminate the arithmetic structure?

dust05
  • 2,324
8

$\color{brown}{\textbf{The task standing.}}$

Firstly, \begin{cases} {\Large\int} \dfrac{\mathrm dt}{2t^2+1} = \dfrac{\arctan t\sqrt2}{\sqrt2}+\mathrm{const}\\[4pt] {\Large\int} \dfrac{\mathrm dt}{(2t^2+1)^{k}} = \dfrac{t}{2(k-1)(2t^2+1)^{k-1}} +\dfrac{2k-3}{2k-2}{\Large\int} \dfrac{\mathrm dt}{(2t^2+1)^{k-1}}\quad (k=2,3\dots)\\[4pt] R_k = {\Large\int}_0^\infty \dfrac{\mathrm dt}{(2t^2+1)^{k}} = \dfrac{(2k-3)!!}{(2k-2)!!}\dfrac{\pi\sqrt2}8\quad (k=2,3\dots),\quad R_1 = \dfrac{\pi\sqrt2}4.\tag1 \end{cases}

Also, is known integral representation of the trigamma function in the form of $$\int\limits_0^\infty\dfrac{t\,e^{-zt}}{1-e^{-t}}\mathrm dt = \psi^{(1)}(z),$$ then \begin{align} &J_{k ,l} = \int\limits_0^\infty\dfrac{t\,\cosh kt}{\sinh lt}\mathrm dt = \int\limits_0^\infty\dfrac{t\,(e^{-(l+k)t}+e^{-(l-k)t})}{1-e^{-2lt}}\mathrm dt = \dfrac1{4l^2}\int\limits_0^\infty\dfrac{t\,\Big(e^{^{\Large\!-\frac{l+k}{2l}t}}+e^{^{\Large\!-\frac{l-k}{2l}t}}\Big)}{1-e^{-t}}\mathrm dt\\[4pt] &= \dfrac{1}{4l^2}\left(\psi^{(1)}\left(\dfrac{l+k}{2l}\right) +\psi^{(1)}\left(\dfrac{l-k}{2l}\right)\right) = \dfrac{\pi^2}{4l^2\sin^2\dfrac{l-k}{2l}\pi}, \end{align}

$$J_{k,l}= \dfrac{\pi^2}{2l^2\left(1+\cos\dfrac kl\pi\right)}.\tag2$$

At last, substituion $x=e^{-t}$ presents the given integral in the form of

$$I_n=\int\limits_0^1\dfrac{x^{2n}\,\ln x\,\mathrm dx}{(1-x^2)(1+x^4)^n} = -\dfrac1{2^{n+1}} \hat I_n,\quad \hat I_n =\int\limits_0^\infty\dfrac{t\,\mathrm dt}{\sinh t\cosh^n2t}.\tag3$$

$\color{brown}{\textbf{Starting values.}}$

Taking in account $(1)-(3)$, one can get $$\hat I_0 = J_{0,1} = \dfrac12\psi^{(1)}\left(\dfrac{1}2\right) = \dfrac{\pi^2}4,\tag{4.1}$$ $$I_0 = -\dfrac12 \hat I_0 = -\dfrac{\pi^2}8 \approx -1.23370\,05501\,36170\tag{4.2}$$ (in accordance with the Wolfram Alpha result),

$$\hat I_1 = \int\limits_0^\infty\dfrac{t\cosh t\,\mathrm dt}{\sinh t \cosh t \cosh 2t} = 4\int\limits_0^\infty\dfrac{t\cosh t\,\mathrm dt}{\sinh 4t} = 4J_{1,4},$$ $$\hat I_1 = \dfrac{\pi^2}{8\left(1+\cos\dfrac \pi4\right)} = \dfrac{\pi^2(2-\sqrt2)}8,\tag{5.1}$$ $$I_1=-\dfrac14\hat I_1 = -\dfrac{\pi^2(2-\sqrt2)}{32} = \approx -0.18067\,12625\,90655\tag{5.2}$$ (numeric calculations give $I_1 \approx -0.18067\,1$),

\begin{align} &\hat I_2 = \int\limits_0^\infty\dfrac{t}{\sinh t\cosh^2 2t}\,\mathrm dt = \int\limits_0^\infty\dfrac{t}{\sinh t}\,\mathrm d\tanh 2t \,\overset{IBP}{=\!=\!=}\, \dfrac{t\tanh 2t}{2\sinh t}\bigg|_0^\infty \hspace{-80mu}\mathbf{\LARGE_{_\diagup\hspace{-11mu}\diagup}\hspace{3mu}^\diagup}\\[4pt] &-\dfrac12\int\limits_0^\infty\dfrac{\sinh t - t\cosh t}{\sinh^2 t} \,\dfrac{2\sinh t \cosh t}{\cosh 2t} \,\mathrm dt = -\int\limits_0^\infty \dfrac{\cosh t\,\mathrm dt}{2\sinh^2t+1} + \int\limits_0^\infty\dfrac{t\cosh^2 t}{\sinh t\cosh 2t}\,\mathrm dt\\[4pt] &= -R_1+ \dfrac12\int\limits_0^\infty\dfrac{t(1+\cosh 2t)}{\sinh t\cosh 2t}\,\mathrm dt = - \dfrac{\pi\sqrt2}4+\dfrac12(\hat I_1+\hat I_0), \end{align} $$\hat I_2 = -\dfrac{\pi\sqrt2}4 + \dfrac{\pi^2(4-\sqrt2)}{16},\tag{6.1}$$ $$I_2 = \dfrac{\pi\sqrt2}{32}-\dfrac{\pi^2(4-\sqrt2)}{128}\approx -0.06054\,02925\,97236\tag{6.2}$$ (numeric calculations give $I_2 \approx -0.06054\,03$).

$\color{brown}{\textbf{Recurrence approach.}}$

If $m\ge2,$ then \begin{align} &\hat I_{m+1} = \int\limits_0^\infty\dfrac{t}{\sinh t\cosh^{m+1}2t}\,\mathrm dt = \dfrac1{2}\int\limits_0^\infty\dfrac{t}{\sinh t\cosh^{m-1} 2t}\,\mathrm d\tanh 2t\\[4pt] &\,\overset{IBP}{=\!=\!=}\, \dfrac{t\tanh 2t}{2\sinh t\cosh^{m-1} 2t}\bigg|_0^\infty \hspace{-120mu}\mathbf{\LARGE_{_\diagup\hspace{-11mu}\diagup}\hspace{3mu}^\diagup} \hspace{80mu}\\[4pt] &-\dfrac12\int\limits_0^\infty\Biggl(\dfrac{2\sinh t\cosh t}{\sinh t\cosh^m 2t} -\dfrac{2t\sinh t\cosh^2 t}{\sinh^2 t\cosh^m 2t}-\dfrac{2(m-1)t\sinh^2 2t}{\sinh t\cosh^{m+1} 2t}\Biggr)\,\mathrm dt\\[4pt] &= -\int\limits_0^\infty \dfrac{\cosh t\,\mathrm dt}{(2\sinh^2t+1)^m} +\int\limits_0^\infty\dfrac{t\cosh^2 t}{\sinh t\cosh^{m} 2t}\,\mathrm dt + (m-1)\int\limits_0^\infty\dfrac{t\sinh^2 2t}{\sinh t\cosh^{m+1} 2t}\,\mathrm dt\\[4pt] &= -R_m + \dfrac12\int\limits_0^\infty\dfrac{t(1+\cosh 2t)}{\sinh t\cosh^m 2t}\,\mathrm dt + (m-1)\int\limits_0^\infty\dfrac{t(\cosh^2 2t-1)}{\sinh t\cosh^{m+1} 2t}\,\mathrm dt,\\[4pt] &\hat I_{m+1}= -\dfrac{(2m-3)!!}{2^{m+1}(m-1)!}\pi\sqrt2 - (m-1)\hat I_{m+1} +\dfrac12I_{m}+\dfrac{2m-1}2\hat I_{m-1}, \end{align}

$$\color{green}{\mathbf{\hat I_{m+1}= -\dfrac{(2m-3)!!}{(2m)!!}\dfrac{\pi\sqrt2}4 + \dfrac1{2m}\hat I_{m}+\dfrac{2m-1}{2m}\hat I_{m-1}.}}\tag7$$ In particular, $$\hat I_3 = -\dfrac{\pi\sqrt2}{16}+\left(-\dfrac{\pi\sqrt2}{16}+\dfrac{\pi^2(4-\sqrt2)}{64}\right)-\dfrac{3\pi^2(2-\sqrt2)}{32},$$ $$\hat I_3 = -\dfrac{\pi\sqrt2}{8}+\dfrac{\pi^2(16-7\sqrt2)}{64},\tag{8.1}$$ $$I_3 = \dfrac{\pi\sqrt2}{128}-\dfrac{\pi^2(16-7\sqrt2)}{1024}\approx -0.02408\,83868\,33221\tag{8.2}$$ (numeric calculations give $I_3 -\approx 0.02408\,84$).

Finally, the table of the obtained values is below.

\begin{vmatrix} m & \hat I_m & I_m\\ 2 & 0.484322 & -0.06054\,03 \\ 3 & 0.385414 & -0.02408\,838 \\ 4 & 0.328998 & -0.01028\,119 \\ 5 & 0.291587 & -0.00455\,6047 \\ 6 & 0.264514 & -0.00206\,6516 \\ 7 & 0.243774 & -0.00095\,2242 \\ 8 & 0.227238 & -0.00044\,38242 \\ 9 & 0.213657 & -0.00020\,86494 \\ 10 & 0.202247 & -0.00009\,87534\,2 \\ 11 & 0.192486 & -0.00004\,699365\tag9 \end{vmatrix}

The data of table $(9)$ correspond to the direct calculations of the given integral.

For example, numeric calculations give $$I_7 \approx 0.00095\,2242,$$

This confirms obtained formulas and the result structure in the common case.