14

Let's take a look at the following integrals :

1) $\displaystyle \int\limits_{0}^{1} \frac{\log{x}}{1+x} \ dx = -\frac{\pi^{2}}{12} = -\frac 1 2 \sum\limits_{n=1}^{\infty} \frac{1}{n^2}= -\frac 1 2 \zeta(2)$

2) For $c<1$ $\displaystyle \int\limits_{0}^{\frac{\pi}{2}} \arcsin(c \cos{x}) \ dx = \frac{c}{1^2} + \frac{c}{3^2} + \frac{c}{5^2} + \cdots $

3) Summing the series $(-1)^k \frac{(2k)!!}{(2k+1)!!} a^{2k+1}$

I have seen integral representations of series and sums employed in ingenious way ways to to compute closed-forms and deduce other interesting properties (e.g. asympotics, recurrences, combinatorial interpretations, etc). Are there any general algorithms or theories behind such methods of integral representations?

1 Answers1

29

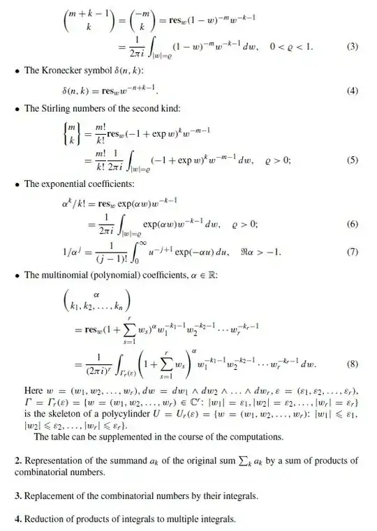
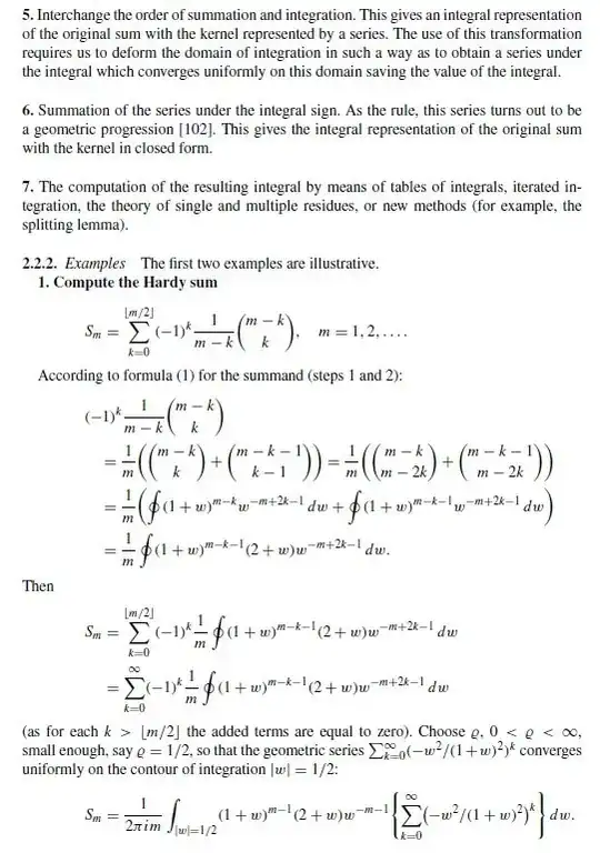
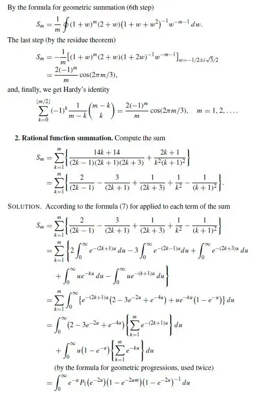
There is a very powerful calculus of multidimensional residues that accomplishes what you seek, see for example the book G. P. Egorychev. Integral representation and computation of combinatorial sums. AMS, Transl. of Math. Monogr. v. 59 Providence 2nd ed. 1989. Below are two illustrative examples of Egorychev's "method of coefficients" excerpted from the survey by Egorychev and Zima in volume 5 of Hazewinkel's Handbook of Algebra:

alt text alt text alt text alt text alt text

Bill Dubuque
  • 282,220