7

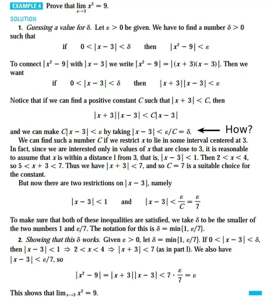
I'm trying to understand the proof of the following limit using epsilon-delta definition.

$$\lim _{x\to3} x^2 = 9$$

In Stewart Calculus, the proof goes like this:

enter image description here

I'm confused at the following points:

1) How the author arrives at this result: $|x-3| < \varepsilon/C = \delta$?

Specifically, how, $$|(x+3)(x-3)| < \varepsilon$$ and $$|(x+3)(x-3)| < C|(x-3)|$$ leads to $$|x-3| < \varepsilon/C = \delta.$$ This is the part I've trouble understanding.

2) What's the role played by $\delta=\min(1, \varepsilon/7)$ ?

I am trying to understand this epsilon-delta proofs for a week but to no avail.

Cody
  • 377
  • See my answer to https://math.stackexchange.com/questions/418961/epsilon-delta-proof-that-lim-limits-x-to-1-frac1x-1/. It's a different problem, but the process is the same. – Clarinetist May 04 '20 at 17:30
  • If $b < C$ and $a > 0$ then $ab <aC$. DO you see that? Now if $aC < e$ then $a < \frac e{C}$. Do you see that? ... That's all there is to it. $|x-3| < \delta$ (we want to find that. And $|x+3| < C$ (we want to find that). And $|x-3||x+3| < \delta C$. We have $\epsilon$. We want to find $\delta$. We are speculating that maybe we can figure out a $C$. If we know what see is we can set $\delta$ to be equal to $\frac \epsilon C$. If we do that then when $|x-3|< \delta$ and $|x+3| < C$ we will know $|x-3||x+3| < \deltaC=\frac{\epsilon}C =\epsilon$. We just have to find $C$. – fleablood May 05 '20 at 02:31

4 Answers4

7

I think your main issue is that you are still trying to think about this exercise as a routine algebraic manipulation. It is not exactly like that.

The thing is that here we have a goal/target about ensuring that some inequality holds. In current question the goal is to ensure that $$|x^2-9|<\epsilon$$ We are not supposed to find all values of $x$ for which the above inequality holds (similar to solving equations like $x^2=9$). The problem is not exactly algebraic. Rather what we desire is to find a range of values of $x$ near $3$ for which this inequality can be ensured. Such a range of values of $x$ may or may not exist. Our task is to prove that such a range of values of $x$ near $3$ always exists no matter what $\epsilon $ is given.

The technique is to replace the target inequality by a simpler one. Thus we have to find some expression $g(x) $ which is simpler in form and satisfies $$|x^2-9|<g(x)$$ and then replace the goal with ensuring that $g(x) <\epsilon $. Thus our original target is to be achieved via a combination of two simpler goals $|x^2-9|<g(x)$ and $g(x) <\epsilon$.

The problem is now to choose a suitable $g(x) $ and to find a range of values of $x$ near $3$ which can ensure that both the sub-goals are met. This is where one has great leverage and problem is actually far simpler than it appears. We have $$|x^2-9|=|x+3||x-3|$$ Now let us choose any specific range of values of $x$ near $3$, say $|x-3|<1$ (this is totally as per your wish, but in general the range should be such that the desired simplification in what follows is possible). And $$|x+3|\leq |x-3|+6<7$$ and therefore we have $$|x^2-9|=|x+3||x-3|<7|x-3|$$ for the range of values of $x$ given by $|x-3|<1$.

Thus we can choose $g(x) =7|x-3|$ and one of the sub goals is achieved for the range $|x-3|<1$. The other goal is now simpler $$7|x-3|<\epsilon $$ Obviously this can be achieved by the range of values of $x$ given by $|x-3|<\epsilon /7$ (if this is not obvious to you then you need to see how inequalities work in general).

So for the two goals we have found two ranges of values of $x$ namely $|x-3|<1$ and $|x-3|<\epsilon /7$ which ensures that the respective goals are met. Since we want to ensure that both the goals are met simultaneously we need to deal with the range of values of $x$ which are common to both $|x-3|<1$ and $|x-3|<\epsilon/7$. This is possible if $|x-3|<\min(1,\epsilon /7)$ and we are done by setting $\delta=\min(1,\epsilon/7)$ and our desired range of values of $x$ is $|x-3|<\delta$.


The important thing to notice here is that our original problem to ensure some inequality is replaced by two far simpler (but not necessarily equivalent) problems. This is in quite contrast to solving equations like $x^2-9=0$ where the problem is reduced to two simpler and equivalent problems $x-3=0,x+3=0$.

The fact that we have to simplify the problem without caring about equivalence gives us great leverage here. Most beginners however don't notice this and instead focus on solving inequalities (where the problem can be simplified but only to an equivalent one) and this is one of stumbling blocks in understanding and applying definition of limit.

More formally the target inequality $$|f(x) - L|<\epsilon $$ is not a hypothesis but a conclusion in a long chain of logical implications. Also by definition the implications involved are one way and you don't need to put any extra effort to unnecessarily ensure a both way implication. And we present our argument like "the target conclusion, say $A$, holds if (not iff) $B, C, \dots$ hold and so on till we reach a stage where we get to see ranges of values of $x$". So the chain of implications is figured out in reverse.

Using your own words from question: how $$|x+3||x-3|<\epsilon$$ and $$|x+3||x-3|<C|x-3|$$ lead to $$|x-3|<\epsilon /C$$ is not the right question, but you should ask how $$|x-3|<\epsilon /C$$ and $$|x+3||x-3|<C|x-3|$$ lead to $$|x+3||x-3|<\epsilon $$ This is the desired logical flow and it would now look obvious to you. The thing however is that the individual logical implications have to be figured out in reverse starting from the conclusion to the hypotheses.

Years of training in algebraic manipulation which are mostly forward or both way implications makes things in analysis a little bit surprising (if not difficult) when we have to deal with one way implications in reverse manner. Thus we switch from "$A$ implies $B$" to "$B$ holds if $A$ holds".

  • 1
    How did you arrive at $|x+3|\leq |x-3|+6<7$ ? – Cody May 05 '20 at 05:56
  • 1
    @Cody: that's triangle inequality $|a+b|\leq |a|+|b|$ with $a=x-3,b=6$. And we have assumed $|x-3|<1$ (totally on our wish). – Paramanand Singh May 05 '20 at 06:18
  • your words are very enlightening to me. And I think I'm starting to get what's really going on. I'm still slightly confused about the second part of the proof in the book, specifically "Showing that this $\delta$ works" section. Here is what I think what's going on. Am I right? – Cody May 05 '20 at 17:30
  • I think you have already answered question I just asked, in the second part of your answer. Still, kindly let me know if I'm right. – Cody May 05 '20 at 18:09
  • @Cody: the first sentence of your linked image is correct. The part after that is not needed (redundant like solving an equation and again verifying that the roots satisfy it). – Paramanand Singh May 06 '20 at 01:20
  • So, you mean "Showing that this $\delta$ works" section can be replaced with this. – Cody May 06 '20 at 04:56
  • @Cody: No you don't need to show separately that $\delta$ works because the process of finding $\delta$ is based on a series of logical deductions which show that the found $\delta $ actually works. – Paramanand Singh May 06 '20 at 05:33
  • If I were to do this way in the exam. Will I get the full credit? Asking because most books seem to follow the two-step approach, First, they guess $\delta$ and then they show that it really works. – Cody May 06 '20 at 06:08
  • @Cody : I am not in academic profession you should ask your professor. But logically speaking this is not needed as a two step process. – Paramanand Singh May 06 '20 at 07:38
  • @Cody: the process outlined in the answer does not guess $\delta $ but rather deduce logically a particular value $\delta$ which meets desired criterion. – Paramanand Singh May 06 '20 at 08:22
  • You're right I should ask my prof. Anyway, I heartily thank you for your awesome explanation. – Cody May 06 '20 at 08:35
2
  1. The author is just saying that if $|x+3||x-3|<C|x-3|$, then$$|x-3|<\frac\varepsilon C\implies|x+3||x-3|<C|x-3|<C\frac\varepsilon C=\varepsilon.$$
  2. If you define $\delta=\min\left\{1,\frac\varepsilon7\right\}$, then, if $|x-3|<\delta$, you know that $|x-3|<1$ and that $x-3|<\frac\varepsilon7$. And the author proved that, when both of these inequalities hold, $|x+3||x-3|<\varepsilon$.
2

It's a puzzle you are working backwards to find values that work.

We have $\epsilon>0$ we found it on the ground and said "Hey, lets use this epsilon".

We are imagining and daydreaming about wouldn't it be wonderful if we had a $C$ so that $|x+3| < C$. We don't actually have this but we are imagining "what if".

If we had such a $C$ it would be a positive number. And $\epsilon$ is a positive number. So $\frac {\epsilon}C$ is a positive number.

So we had that dreamy magical wouldn't it be nice $C$ we could just take $\frac \epsilon C$ and call it $\delta$. Let's imagine we did that.

Then we can pick an $x$ so that $|x-3| < \delta$. We can do that by noting that $\delta$ is a positive number, so we just pick some $x$ that is within $\delta$ of $3$. That is picking $x$ so that $3-\delta < x < 3+\delta$.

Okay we did that.

So $|x-3| < \delta = \frac \epsilon C$. That fine.

Now.... just multiply both sides by $C$. ... You can.... $C$ is a positive number so just multiply both sides by it.

$C|x-3| < \delta*C = \frac \epsilon C*C = \epsilon$.

Well, that's handy.

Now $C > |x+3|$. Why? Well, because we really want it to be. Remember we don't actually have $C$ yet. We are only daydreaming (well, speculating) what would have if we had a $C$ so that $C > |x+3|$.

Well, if we had and $|x+3 | < C$ we could multiply both side but $|x-3|$ and get

$|x-3||x+3| < C|x-3|$ and we have $C|x-3| < \epsilon$ so we would have

$|x-3||x+3| < C|x-3| < \epsilon$.

And that would be freaking awesome! Because we would be done and have proven every thing we want to prove.

We can pick any $\epsilon > 0$ of the ground. We take the $C$ we have. We let $\delta = \frac {\epsilon}C$. Then whenever we pick $x$ so that $|x-3| < \delta$ we have $|x^2 -9| = |x-3||x+3| < |x-3|C < \delta C = \epsilon$ and that would prove $\lim_{x\to 3} x^2 = 9$.

....

But... we have to have that $C$. And so for $C$ is just a daydream.

But what do we need to find the $C$? We need $|x-3| < \delta$ and we need $|x+3| < C$. We want both of those to be true.

Now we want $\delta$ to be small so we can assume $\delta < 1$ and $x$ is within $1$ of the number $3$. We don't actually know what $\delta$ will until we figure out what $C$ is but we don't know what $C$ is. So we fudge. We'll assume $\delta < 1$. If by some bad bit of luck we get $\delta = \frac {\epsilon} C \ge 1$ well, well ust pick $\delta = 1$ instead.

So $x$ is within $\delta$ of $3$ then $2 < x < 4$ and we so $5 < x+3 < 7$ and $|x+3| < 7$.

So that is our magincal daydream number Let $x = 7$. And let $\delta =\frac \epsilon 7$. That will work if $\frac \epsilon 7 \le 1$.

But if $\frac \epsilon 7> 1$ we can use $\delta = 1$.

.......

That's how we puzzled it all out.... but lets see if it works:

We pick up an $epsilon $ off the ground.

We let $\delta = \min (\frac \epsilon 7, 1)$ that is if $\epsilon \ge 7$ we let $\delta =1$ and if $\epsilon < 7$ we let $\delta = \frac \epsilon 7$.

We pick an $x$ so that $3-\delta < x < 3+\delta$ or, in other word, so that $|x-3| < \delta$.

If $\epsilon \ge 7$ and $\delta =1$ then $2 < x < 4$ and $4 < x^2 < 16$ and so $-5 < x^2 - 9 < 7$ and $|x^2 - 9| < 7 \le \epsilon$ and we are done. We found there is a $\delta$ for all $\epsilon \ge 7$ that satisfies what we want.

But that was the dumb case. We have to also show it for all the $\epsilon < 7$.

Okay. If $|x-3| < \delta = \frac {\epsilon}7\le 1$ that's a start.

But then $2< 3-\delta < x < 3+\delta < 4$ so $5 < x +3 < 7$ so $|x+3| < 7$

So $|x^2-9| = |x-3||x+3| < \delta*7 = \frac {\epsilon}7*7 = \epsilon$.

And that's it! We proved it. For every $\epsilon > 0$ there is a $\delta$ so that $|x-3| \implies |x^2 -9| < \epsilon$. We just had to make for that if $\epsilon \le 7$ that $\delta = \frac \epsilon 7$ and if $\epsilon > 7$ that $\delta = 1$.

(Actually we could pick an delta smaller if we wanted to.)

fleablood
  • 130,341
2

Proposition 1: Let $p, v, M \in \Bbb R$ with $v,M \gt 0$.
Let $f$ be a real-valued function that is defined over the interval $[p-v,p+v]$ satisfying

$\tag 1 \displaystyle {\lim _{x \to p} f(x) = 0}$

Let $g:[p-v,p+v] \to \Bbb R$ be given and satisfy $|g(x)| \le M$ for all $x$ in its domain.

Then the function $h(x) = f(x)g(x)$ defined over $[p-v,p+v]$ satisfies

$\tag 2 \displaystyle {\lim _{x \to p} h(x) = 0}$ Proof
Let the challenge $\varepsilon \gt 0$ be submitted for $\text{(2)}$.

By $\text{(1)}$, for the number $\varepsilon_f = \frac{\varepsilon}{M}$ a corresponding $\delta_f \gt 0$ can be specified such that

$\quad 0 \lt |x - p| \lt \delta_f \text{ implies } |f(x)| \lt \varepsilon_f$

Set $\delta = \text{min}(\delta_f,v)$. It is easy to see that

$\quad 0 \lt |x - p| \lt \delta \text{ implies } |h(x)| \lt \varepsilon$

and so the validity of $\text{(2)}$ has been established. $\quad \blacksquare$

For the OP's problem, set

$f(x) = x - 3$
$g(x) = x + 3$
$p = 3$
$v = 1$

Now if we check we see that the $|g(x)| \le 7$ on $[2,4]$ so set $M = 7$.

For any $\varepsilon$ presented for $\displaystyle \lim_{x\to3} x^2 = 9$, we can '$\text{turn the proposition 1 crank}$', and let

$\quad \delta = \text{min}(\frac{\varepsilon}{7},1)$

Note that since $f(x) = x -1$ has slope equal to $1$, $\,\delta_f = \epsilon_f$.

CopyPasteIt
  • 11,870
  • 2
    While your answer is correct I don't like the use of phrase turn a crank as if to make the whole exercise mechanical. Already students are mechanically trained for algebraic manipulation. Let that attitude be ditched for those who want to pursue mathematics for the sake of enjoyment. – Paramanand Singh May 05 '20 at 13:13
  • 1
    @ParamanandSingh The point of the answer is to show that to 'turn-the-crank' you have to put on your 'abstract hat', and so really, for the $\varepsilon / \delta$ there are cookie cutter solutions - the interested student just has to cross over into mathematical maturity when they are ready. I am up-voting your answer (I thought it was a bit lengthy but it certainly has pedagogical merit) as well as your comment here... – CopyPasteIt May 05 '20 at 13:46
  • @ParamanandSingh By the way, the first time I heard the phrase 'turn the crank' was from a control engineer in the early 1980's and it was fascinating to watch him solve problems. – CopyPasteIt May 05 '20 at 13:54
  • Ok I got your point which was perhaps not clear to me in first reading. +1 there. And yes my answer is indeed lengthy. I added the second part later after some more thought. – Paramanand Singh May 05 '20 at 13:54