I am looking up on the Bernoulli numbers and their connection to $\tan(x)$ power series and I see this thread:
Bernoulli numbers, taylor series expansion of tan x
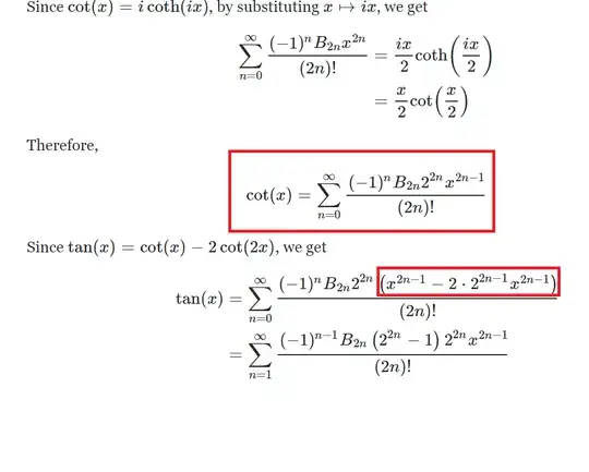
In it, Rob John manipulate the series of
The part I don't understand is circled in red. What is the general formula for $-2\cot(2x)$? How do you combine the formula to produce the last one for $\tan(x)$. I don't understand that part of his manipulation. Can you do it in a few more steps so I can learn?
