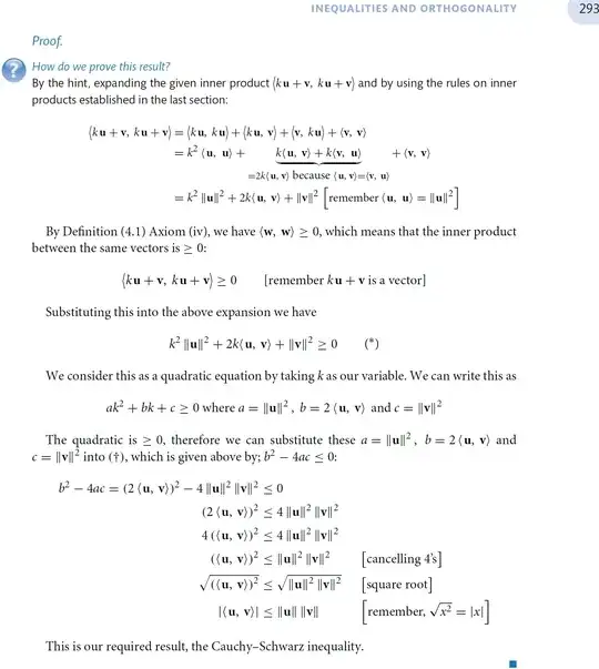
I want to prove $|\langle x, y \rangle| \leq \|x\| \, \|y\|$ for all $x,y \in \mathbb{R}^n$ or $\mathbb{C}^n $. I know there exist tons of proofs for this inequality, but I want to prove it through a specific schematic.
- We know that the length of a vector is $\geq 0$, hence for an arbitrary $t \in \mathbb{R}$ it follows that $0 \leq \| tx + y \|$.
- I think it's possible to rearrange this inequality such that $0 \leq at^2 + bt +c$.
- Now we can look at the discriminant $b^2 -4ac$ and formulate a new inequality such that the Cauchy-Schwarz inequality follows.
