31

For $a_i>0$ ($i=1,2,\dots,n$), $n\ge 3$, prove that $$\sum_{k=1}^n\frac{k}{a_1+a_2+\cdots+a_k}\le\left(2\color{red}{-\frac{7\ln 2}{8\ln n}}\right)\sum_{k=1}^n\frac 1{a_k}.$$

The case without $\color{red}{-\dfrac{7\ln 2}{8\ln n}}$ could be shown here. I have no idea how the $\color{red}{\text{red}}$ term comes from.

Note: This question should not be closed although there was a duplicated question $4$ years ago (see here). Duplicate of unanswered question suggests that if there is no accepted answer in the old question, the new question can stay open in the hope of attracting an answer.

The question comes from the Chinese Mathematical Olympiad training team and there is no answer provided.

Source:

  • See Q.25 here (one of the official accounts that provides Chinese MO questions on January $23^{\rm rd}$, $2018$)
  • It has also appeared here (A blog from the person who set this question on December $17^{\rm th}$, $2013$).
Tianlalu
  • 5,387
  • This looks like a problem you have collected from / inspired by some source. According to recent discussions in Meta, we are looking forward to including sources for all applicable questions. Can you provide the source by editing the question?Refer-https://math.meta.stackexchange.com/questions/29290/is-it-a-good-idea-to-include-source-from-where-a-question-is-taken – Soham Oct 22 '18 at 14:10
  • See question #25 here. The question first appeared here from the same person. – Tianlalu Oct 22 '18 at 14:42
  • Edit your question and add these to your main question body, please ;-) – Soham Oct 22 '18 at 14:43
  • I have edited your question. Do include source in your future questions. – Soham Oct 22 '18 at 14:46
  • @tatan Thanks for editing – Tianlalu Oct 22 '18 at 14:58
  • Do you know of any equality or near-equality cases? Those could possibly give you some intuition as to where the $\frac{7\ln 2}{8\ln n}$ term comes from. – Carl Schildkraut Oct 22 '18 at 15:46
  • 1
    @Tianlalu I have a proof for $\left(2-\frac{2}{2n+1}\right)$ instead $\left(2-\frac{7\ln2}{8\ln{n}}\right).$ – Michael Rozenberg Feb 09 '19 at 12:38
  • In 2013/09/19, someone asked for proof in a Chinese forum the inequality with constant 2 and one hour later, Ji Chen gave a proof and proposed the inequality with constant $\left(2-\frac{7\ln2}{8\ln{n}}\right)$. – River Li Jun 23 '19 at 11:02
  • Wondering if it can be proved recursively. – Vincent Granville Oct 02 '19 at 22:41
  • The fact that $n\geq 3$ is imposed makes me suspect that there might be an analytic extension to this problem (possibly an integral inequality) which holds for all $x\geq e$. –  Oct 03 '19 at 01:03

1 Answers1

2

For a given $n$, this answer by r9m provides a tool to improve the upper bound for the left hand side by looking for the set of $\{x_k\}_{k=1}^n$ such that $c(n)=\max\limits_{k \in \{1,2,\cdots,n\}}\{c_k\}$ is minimized. It turned out to more convenient to consider a sequence $\{y_k\}_{k=2}^n$, where $y_{k}=x_k/x_{k-1}$ and $d(n)=2-c(n)$. Below I present the best values of $d(n)$ for small $n$ and the (componentwise almost optimal) sequences $\{y_k\}$ providing them which I found (the decimal fractions below are truncated, not rounded):

n=4 0.738307
2.195696 1.989904 2.218204

n=5 0.696237
2.071728 1.818972 1.821304 2.083424

n=6 0.660482
1.9875 1.7125 1.6625 1.7250 2.0000

n=7 0.632358
1.925 1.660 1.575 1.575 1.655 1.930

n=8 0.611866
1.8912 1.6148 1.5254 1.5012 1.5230 1.6106 1.8896

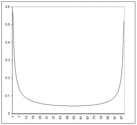
It suggests that there exists of a general pattern for $\{y_k\}$. Below are graphs for $\{y_k\color{red}{-1}\}$ for $n=20$ (which provides $d(20)\ge 0.4750702$) and $n=100$ (which provides $d(100)\ge 0.3156195$). I remark that the last value is more than twice bigger than $\frac{7\ln 2}{8\ln 100}=\frac{7}{8\log_2 100}=0.1317006\dots$, so I guess that analytic description of the pattern can lead to a proof of a strong inequality. As an aid I provide below the (rounded) sequence $\{y_k-1\}$ for $n=100$.

enter image description here enter image description here

0.568813293
0.339731947
0.250658592
0.202100545
0.171168765
0.149589419
0.133606711
0.121254158
0.111401006
0.103346372
0.096632292
0.090945372
0.086065313
0.081830815
0.078121791
0.074847124
0.071934277
0.069329774
0.06698533
0.064867893
0.062946908
0.06119601
0.059597855
0.058134021
0.056788616
0.055549986
0.054408614
0.053355081
0.052381164
0.051477808
0.050642813
0.049869636
0.049150712
0.048487213
0.047870011
0.047300624
0.046773765
0.046287301
0.045839285
0.045426464
0.045050178
0.044705127
0.044392893
0.044110562
0.043858542
0.043635059
0.043439437
0.043271504
0.043130179
0.043015646
0.042927185
0.042864435
0.042829168
0.042819848
0.04283657
0.042881058
0.042952044
0.043050421
0.043179212
0.043337126
0.043524287
0.043744926
0.043999354
0.044286068
0.044612369
0.044977226
0.045381648
0.045832647
0.046329917
0.046878054
0.047482742
0.048146738
0.048877411
0.049679262
0.05056174
0.051533042
0.052601587
0.053782408
0.055087981
0.05653489
0.058146492
0.059945903
0.06196218
0.06423862
0.066818627
0.069766721
0.073161067
0.077108166
0.081748879
0.087280503
0.093985299
0.10227286
0.11278736
0.126570241
0.145453179
0.172979978
0.217060498
0.299864157
0.518985805
Alex Ravsky
  • 106,166
  • 1
    Nice work! (+1) Quadratics like $x_k=k^2+kn+n$ sort of seem to be strong enough, but I have no idea how to prove –  Oct 12 '19 at 05:47