Problem
I would like to compute the integral:
\begin{align} \int_{0}^{+\infty} \text{erf}(ax+b) \exp(-(cx+d)^2) dx \tag{1} \end{align}
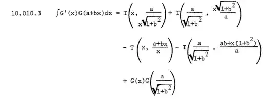
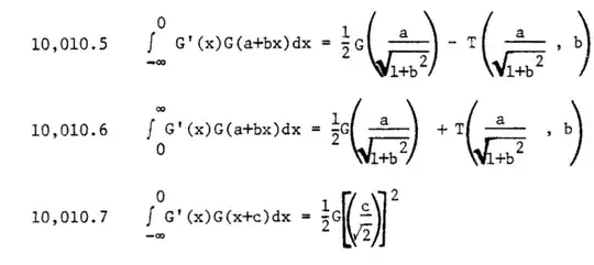
I have been looking at this popular table of integral of the error functions, and also found here the following expression:
\begin{align} \int_{-\infty}^{+\infty} e^{-(\alpha x+ \beta)^2} \text{erf}(\gamma x+\delta) dx = \dfrac{\sqrt{\pi}}{\alpha} \text{erf} \left[ \dfrac{\alpha \delta - \beta \gamma}{\sqrt{\alpha^2+ \gamma^2}} \right] \tag{2} \end{align}
as well as:
\begin{align} \int_{0}^{+\infty} e^{-\alpha^2 x^2} \text{erf}(\beta x) dx = \dfrac{\text{arctan}(\beta / \alpha)}{\alpha \sqrt{\pi}} \tag{3} \end{align}
However the latter (3) is only a particular case of (1), which is what I am looking for. Do you know how to prove (2)? This might help me understand how to compute (1)? Or do you know how to compute (1)?

