In the following question, do we assume the probability of selecting each box is 1/3 unless stated otherwise?
- There are 3 boxes. First box contains 100 components of which 20 % are defective, second box contains 200 components of which 25 % are defective, third box contains 300 components of which 40 % are defective. Box is selected randomly and from this box one component is selected randomly. The chosen component turned out to be defective. Determine the probability that it came from
a) second box; b)third box.
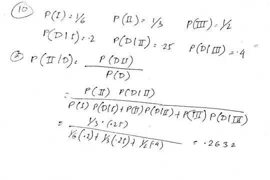
- Urn I has 2 white and 3 blacks balls; urn II, 4 white and 1 black; urn III, 3 white and 4 black. An urn is selected at random and a ball drawn at random is found to be white. Find the probability that urn I was selected.
For the first qt, the solutions say the probability of selecting box 1 is 100/600, box 2 200/600, and box 3 300/600, but that doesnt make sense to me because if the boxes are separate, why would the amount of components matter? If the question said that all the components were scattered into one place and then we select at random, then it would make sense that the probability of selecting from each box wouldn't be 1/3 - ie, the amount of components that were originally in each box would matter. Below is the solution (is it wrong?) for qt 1
