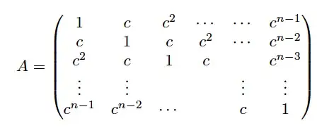
If I have a $n \times n$ matrix, call it A, and I know that the determinant of the matrix $A_{n-1,n-1}>0$, how can I prove that det($A_{n,n})>0$, for the following special case? The idea is to prove, by induction, that $A$ is a positive-definite matrix.
I would also want to know which are the vectors $v_{i}$, $v_{j}$ that satisfy $(v_{i}|v_{j})=c^{|i-j|}$ i.e I would also want to find the set of independent (normalized) vectors that have $A$ for Gram's matrix.
Note: $0<c<1$.
