Suppose there's a set of 500 individuals. What is the expected number of coinciding birthday celebrators? That's easy - it's $500/365$, under the assumption of uniform distribution.
But a birthday can't be fractioned between different dates so of practical reasons, some days will have more and others less celebrators. I wonder what's the expected number of simultaneous birth dates on the most common day (i.e. the one with most people having been born).
My impression is that there's something I'm missing and that it's not as easy as the formula in the first paragraph. The reasoning is that if there's only 5 individuals, the expected number of celebrators on the most common day is not $5/365$ but only $1/365$ because it's most probable that the birthdays are spread across the year.
So, the suggested solution would be removing the first $365$ people, regarding them as likely having one day each. Then, keeping the remaining $135$, hence arriving at $1 + 135/365$.
But I'm so confused and uncertain that I need outside input.
edit based on comments
There's certainly at least two simultaneous celebrators on the most common day. So the expected number is $2 + something$. That something consists of the likelihood for each of the remaining $500 - 2$ individuals.
If there's $2$ people in the group, the expected value is $1 + 1/365$. If there are $3$ people in the group, the expected value is $1 + 2 * 1 / 365$. Is that correct?
Then, if we'd have $365$ people, the formula suggested above would render $1 + 365 * 1 / 365$, which is $2$. It seems intuitively correct to me. Am I missing something?
Finally, the original group size was $500$. Hence, the answer would be $2 + 135 * 1 / 365$ or, if you want, $1 + 500 * 1 / 365$. Can anybody shoot it down somehow?

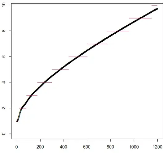
people <- 500and reducing the number of cases seems to suggest a mean of about $5.86$ – Henry Feb 13 '17 at 23:33