According to discussion in the comments of the question we can conclude that infections of the children of the same node are not independent. But we don't know if that dependence is horizontal or vertical. Meaning, maybe infection of one node has influence on its sibiling, or maybe the parent statistically has higher or lower influence on its children so sometimes it infects both, one or none of them
Since disease spreads vertically only, I will consider the second case
Let parents be named B,L,R or N if they infect both, left, right or none of the children, where $p(L)=p(R)=\frac{p_1}2$. We can draw all possible trees and count their probabilities. For instance
$$B$$$$B\_\_R$$$$N\_\_L\_\_R$$$$0\_\_L\_\_0\_\_B$$
$$0\_\_\_1\_\_0\_\_1\_\_\_1$$
has probability $B^3R^2L^2N$ (0-not infected, 1-infected)
Lets discuss all the graphs that end with $01011$, then previous row has to be one of $\{0L0B,R00B,...\}=$
$(\{R\}\times\{0,L,N\}\bigcup \{0,N\}\times\{L\})\times(\{R\}\times\{R\}\bigcup\{0,R,N\}\times\{B\})$
Probability that $01011$ is preceded with $0L0B$ is equal to probability for $0101$ to happen, times $p(L)p(B)$
So $p(01011)=p(1001)p(R)p(B)+p(0101)p(L)p(B)
+p(1011)p(R)(p(R)^2+p(R)p(B)+p(N)p(B))+p(0111)p(L)(p(R)^2+p(R)p(B)+p(N)p(B))
+p(1101)(p(R)p(L)+p(N)p(R)+p(N)p(L))p(B)
+p(1111)(p(R)p(L)+p(N)p(R)+p(N)p(L))(p(R)^2+p(R)p(B)+p(N)p(B))$
Also $p(1011)=p(1101)$ as a mirror pair
So, it is left to conclude a way of finding preceding combinations for a 011011110... It is made of several groups of consecutive $1$s which are independent, so they can be attached to each other by a Decartes multiplication also multiplied by $\{0,N\}$ for each pair of consecutive $0$s in between.
Let $f(n)$ be the set of all combinations that precede to n consecutive $1$s, $f(1)=\{RN,R0,RL,0L,NL\}$ and lets define $g(n)$ as the set of all elements from $f(n)$ that start with $R$ or $0$ but leading $R$ subtituted with $B$ and leading $0$ subtituted with $L$ , $g(1)=\{BN,B0,BL,LL\}$. Then $f(n+1)=R\times f(n)\bigcup \{R,0,N\}\times g(n)$
Exceptions are the groups on the end or start of the level, where you pick only combinations with leading or ending zero and remove that zero. Lets define sets for leading groups as $lf(n)$, sets for ending groups as $ef(n)$ and groups that are both leading and ending as $lef(n)$
$f(1)=\{RN,R0,RL,0L,NL\}$
$g(1)=\{BN,B0,BL,LL\}$
$lf(1)=\{L\}$, $ef(1)=\{R\}$
$f(2)=\{RRN,RR0,R0L,RNL,RBN,RB0,RBL,RLL,NBN,NB0,NBL,NLL,0BN,0B0,0BL,0LL\}$
$g(2)=\{BRN,BR0,B0L,BNL,BBN,BB0,BBL,BLL,LBN,LB0,LBL,LLL\}$
$lf(2)=\{BN,B0,BL,LL\}$, $ef(2)=\{RR,RB,NB,0B\}$, $lef(2)=\{B\}$
$f(3)=\{RRRN,RRR0,RR0L,RRNL,RRBN,RRB0,RRBL,RRLL,RNBN,RNB0,RNBL,RNLL,R0BN,R0B0,R0BL,R0LL,RBRN,RBR0,RB0L,RBNL,RBBN,RBB0,RBBL,RBLL,RLBN,RLB0,RLBL,RLLL,NBRN,NBR0,NB0L,NBNL,NBBN,NBB0,NBBL,NBLL,NLBN,NLB0,NLBL,NLLL,0BRN,0BR0,0B0L,0BNL,0BBN,0BB0,0BBL,0BLL,0LBN,0LB0,0LBL,0LLL\}$
$lf(3)=\{BRN,BR0,B0L,BNL,BBN,BB0,BBL,BLL,LBN,LB0,LBL,LLL\}$, $ef(3)=\{RRR,RRB,RNB,R0B,RBR,RBB,RLB,NBR,NBB,NLB,0BR,0BB,0LB\}$, $lef(3)=\{BR,BB,LB\}$
Lets calculate p(111),p(110),p(101),p(100),p(010),p(000). With notes that $p(L)=p(10)=\frac {p_1} 2=p(01)=p(R)$, $p(N)=p(00)=p_0$, $p(B)=p(11)=p_2$
$prec(111)=lef(3)=\{BR,BB,LB\}$ is the set of rows that can precede to $111$, so $p(111)=p(11)p(B)(p(B)+p(R)+p(L))$, further I will write just B not p(B)
$prec(110)=lf(2)$,
$p(110)=p(11)(BN+BL+LL)+p(10)B=B(BN+BL+LL+L)$
$prec(101)=lf(1)\times ef(1)=\{LR\}$,
$p(101)=p(11)LR=BLR$
$prec(100)=lf(1)\times \{0,N\}=\{LN,L0\}$,
$p(100)=p(11)LN+p(10)L=BLN+LL$
$prec(010)=f(1)$,
$p(010)=p(11)(RN+RL+NL)+p(10)R+p(01)L=B(RN+RL+NL)+2RL$
$p(000)$ isn't needed and $p(100)=p(001)$, $p(110)=p(011)$
$E(2)=3p(111)+2(p(101)+2p(110))+2p(100)+p(010)=
3p(111)+2p(101)+4p(110)+2p(100)+p(010)=
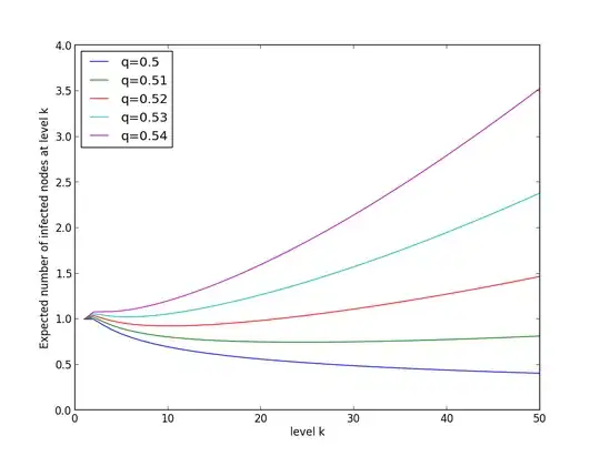
3p_2^2(p_2+p_1)+2p_2p_1^2/4+4p_2(p_2p_0+p_2p_1/2+p_1^2/4+p_1/2)+p_0p_1p_2+p_1^2/2+p_0p_1p_2+p_2p_1^2/4+p_1^2/2=3p_2^3+5p_2^2p_1+\frac{7}{4}p_1^2p_2+4p_0p_2^2+2p_1p_2+2p_0p_1p_2+p_1^2$
Now you have probabilities on 3rd level you can "easily" calculate them on 4th level
$prec(1111)=lef(4)$
$prec(1110)=lf(3)$,
$prec(1101)=lf(2)\times ef(1)$,
$prec(1100)=lf(2)\times \{0,N\}$,
$prec(1010)=lf(1)\times f(1)$,
$prec(1001)=lf(1)\times \{0,N\}\times ef(1)$,
$prec(0110)=f(2)$,
$prec(1000)=lf(1)\times \{0,N\}\times \{0,N\}$,
$prec(0100)=f(1)\times \{0,N\}$,