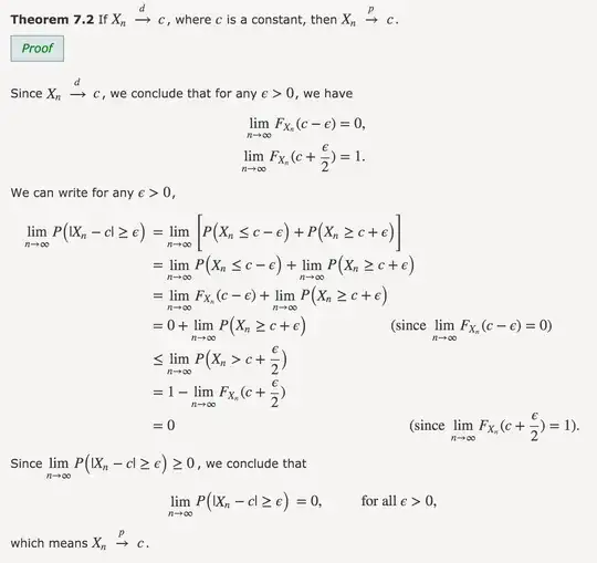
I'm trying to understand this proof (also in the image below) that proves if $X_{n}$ converges to some constant $c$ in distribution, then this implies it converges in probability too.
Specifically, my questions about the proof are:
How are they getting $\lim_{n \to \infty} F_{X_{n}}(c+\frac{\epsilon}{2}) = 1$?
Why do they state the conclusion at the end in this way? They're basically saying that knowing $\lim_{n \to \infty}P(|X_{n} - c| \geq \epsilon) \geq 0$ allow you to conclude that $\lim_{n \to \infty}P(|X_{n} - c| \geq \epsilon) = 0$ but the real reason we can conclude this is because of the whole body of the proof above, right?
