Can anyone prove how the two equations are equal? Thanks
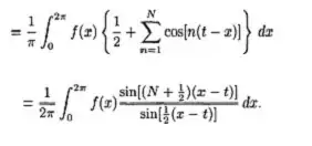
$$=\frac1\pi \int_0^{2\pi} f(x) \left\{\frac12+\sum_{n=1}^N \cos [n(t-x)] \right\} \, dx$$
$$=\frac1{2\pi} \int_0^{2\pi} f(x) \frac{(N+\frac12)(x-t)}{\sin\frac12(x-t)}\, dx$$
Can anyone prove how the two equations are equal? Thanks
$$=\frac1\pi \int_0^{2\pi} f(x) \left\{\frac12+\sum_{n=1}^N \cos [n(t-x)] \right\} \, dx$$
$$=\frac1{2\pi} \int_0^{2\pi} f(x) \frac{(N+\frac12)(x-t)}{\sin\frac12(x-t)}\, dx$$
\begin{align*}\sin\left[\frac{1}{2}(x-t)\right]\left[\frac{1}{2}+\sum_{n=1}^{N}\cos[n(t-x)]\right]=\frac{1}{2}\sin\left[\frac{1}{2}(x-t)\right]+\sum_{n=1}^N\sin\left[\frac{1}{2}(x-t)\right]\cos\left[n(x-t)\right]\\=\frac{1}{2}\sin\left[\frac{1}{2}(x-t)\right]+\frac{1}{2}\sum_{n=1}^{N}\sin\left[\left(n+\frac{1}{2}\right)(x-t)\right]-\sin\left[\left(n-\frac{1}{2}\right)(x-t)\right]\end{align*}
Now, this is a telescoping sum, hence we can write $$\frac{1}{2}\sin\left[\frac{1}{2}(x-t)\right]+\frac{1}{2}\left[\sin\left[\left(N+\frac{1}{2}\right)(x-t)\right]-\sin\left[\frac{1}{2}(x-t)\right]\right]=\frac{1}{2}\sin\left[\left(N+\frac{1}{2}\right)(x-t)\right]$$
Eventually $$\boxed{\frac{1}{2}+\sum_{n=1}^{N}\cos\left[n(t-x)\right]=\frac{\sin\left[\left(N+\frac{1}{2}\right)(x-t)\right]}{2\sin\left[\frac{1}{2}(x-t)\right]}} \hspace{3cm}\blacksquare$$
BTW, it is called Dirichlet kernel (you might want to google it).