A young boy (13 years old), son of friends of mine, is already very dedicated to mathemetics. He told me that, in the classical formula $$A=P\frac{i \,(i+1)^n}{(i+1)^n-1}$$ using his calculator he was able to compute any number knowing the three other except $i$ for which he needs to use a trial and error method. Since we use to "play mathemetics" (as he says) together, he asked me how he could do it simply.
For sure, I explained what are the problems and how the equation in $i$ could be easily solved by a numerical method such as Newton. This was probably looking too complex and he asked me if a "good" approximation could be given to him. But, deceptively, he asked for a formula which could be used on paper without any calculator.
Accepting the challenge, I worked the equation $$r=\frac{i\,(i+1)^n}{(i+1)^n-1}$$ for which I built two approximations.
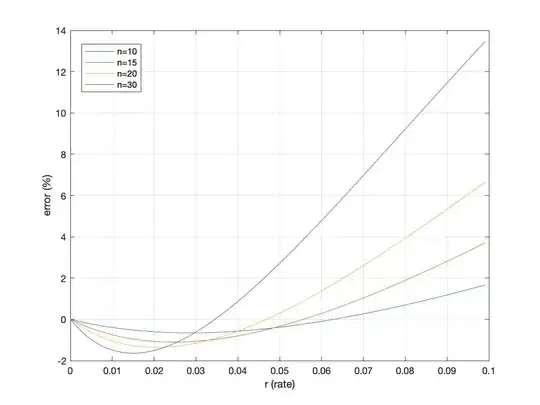
The first one by Taylor series (around $i=0$) limited to first order $$r=\frac{i\, (n+1)}{2 n}+\frac{1}{n}\implies i_1=\frac{2 (n r-1)}{n+1}$$ which is an overestimate (Darboux theorem since this corresponds to the first iteration of Newton method).
The second one building the simplest Pade approximant (around $i=0$) $$r=\frac{\frac{1}{n}+\frac{ (n+2)}{3 n}i}{1-\frac{n-1}{6} i }\implies i_2=\frac{6 (n r-1)}{2(n+2)+n(n-1)r}$$ which is, as one could expect, much better than the first one but which corresponds to an underestimate (which I cannot prove).
Trying to improve that, using generated data ($0 \leq i\leq 0.01$ and $1 \leq n \leq 240$) and using linear regression, I finally proposed (rounding the coefficients) $$i_3\approx \frac 14 i_1+\frac 34 i_2$$ which is not too bad.
For example, using $r=0.01$ and $n=180$, the above formulas give $i_1=0.008840$, $i_2=0.006995$, $i_3=0.007456$ while the exact solution is $i=0.007299$.
My question is : does any one know a simple and accurate formula which could be proposed to this young man (remember : pen and paper only) ?
I must confess that I am now stuck (if he would have accepted a formula to be used with a calculator, I could have proposed a nice expression from a slightly more complex Pade approximant but this would require solving an ugly looking quadratic equation). For the conditions used above, it would lead to the estimate $0.007304$.

