Problem 2a here on page 882, translated
Prove the statement
If $\lambda\in \sigma(A)$, so $\lambda^p \in\sigma(A^p) \forall p\in\mathbb N.$
(where $\lambda$ is an eigen-value and $\sigma(A)$ is a set of the eigen-values)
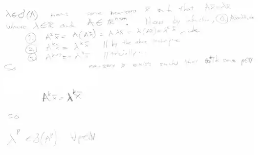
Suppose arbitrary $A$ so that $\lambda\in\sigma(A)$. By the definition of eigen-value, we have a non-zero $\bar{x}$ so that $A\bar{x}=\lambda \bar{x}$ where $\bar{x}\in\mathbb R^n$, $\lambda\in\mathbb R$ and $A$ is some matrix such that $A\in R^{n\times m}$.
Diversion I earlier abserved here, $A\bar{x_1}=\lambda_1\bar{x_1}$ so $A^2\bar{x_1}=\lambda_1^2\bar{x_1}$ so $A^k\bar{x_k}=\lambda_k^k\bar{x_k}$ so $\lambda_k\in \sigma(A^k) \forall k\in \mathbb N$.
Now I think I must somehow use that, thinking (sorry about bad quality but it is only meant for a very fast draft) -- basically the junk means use indunction after quantifying the terms and prove with direct proof.

Goal We need to prove that $\forall p\in\mathbb N : \exists \bar{x}\in\mathbb R \not =\bar{0} : A^p \bar{x}=\lambda^p\bar{x}$.