Sorry, if that has been already solved somewhere, but the solutions I've seen so far doesn't really work for me.
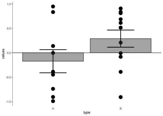
Let's say we have a this data and I want to plot it as a bar graph with individual values:
library(ggplot2)
seed(42)
data <- data.frame(type = sample(LETTERS[1:2], replace = TRUE, 20), values = runif(20)*c(-1, 1))
ggplot(data, aes(x = type, y = values)) +
geom_point(size = 5)+
stat_summary(fun=mean, geom='bar', color = "black", alpha = 0.5) +
stat_summary(fun.data=mean_se, geom='errorbar', width=0.4, size = 1)+
theme_classic()
I want to have x-axis intercepting y-axis at 0 and still have labels for "type" on the bottom. If I just draw geom_hline at "0" then I have two x-axises which is not really preferrable.
How would you move the actual x-axis here ? Thanks a lot!

