void level_order_recursive(struct node *t , int h) //'h' is height of my binary tree
{ //'t' is address of root node
for(int i = 0 ; i <= h ; i++)
{
print_level(t , i);
}
}
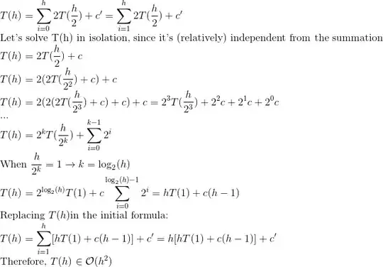
After print_level() is called everytime , I think recursive function is called (2^i) times . So 2^0 + 2^1 + 2^2 ....2^h should give time complexity of O(2^n).Where am I going wrong ?
void print_level(struct node * t , int i)
{
if( i == 0)
cout << t -> data <<" ";
else
{
if(t -> left != NULL)
print_level(t -> left , i - 1); //recursive call
if(t -> right != NULL)
print_level(t -> right , i - 1); //recursive call
}
}
