I have a few datapoints (x and y) that seem to have a logarithmic relationship.
> mydata
x y
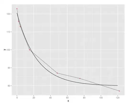
1 0 123
2 2 116
3 4 113
4 15 100
5 48 87
6 75 84
7 122 77
> qplot(x, y, data=mydata, geom="line")

Now I would like to find an underlying function that fits the graph and allows me to infer other datapoints (i.e. 3 or 82). I read about lm and nls but I'm not getting anywhere really.
At first, I created a function of which I thought it resembled the plot the most:
f <- function(x, a, b) {
a * exp(b *-x)
}
x <- seq(0:100)
y <- f(seq(0:100), 1,1)
qplot(x,y, geom="line")

Afterwards, I tried to generate a fitting model using nls:
> fit <- nls(y ~ f(x, a, b), data=mydata, start=list(a=1, b=1))
Error in numericDeriv(form[[3]], names(ind), env) :
Missing value or an Infinity produced when evaluating the model
Can someone point me in the right direction on what to do from here?
Follow up
After reading your comments and googling around a bit further I adjusted the starting parameters for a, b and c and then suddenly the model converged.
fit <- nls(y~f(x,a,b,c), data=data.frame(mydata), start=list(a=1, b=30, c=-0.3))
x <- seq(0,120)
fitted.data <- data.frame(x=x, y=predict(fit, list(x=x))
ggplot(mydata, aes(x, y)) + geom_point(color="red", alpha=.5) + geom_line(alpha=.5) + geom_line(data=fitted.data)

