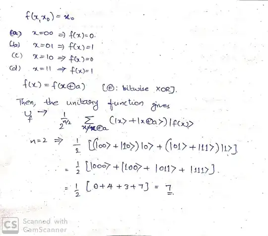
I am trying to wrap my head around Simon's algorithm and I am trying to solve a question.
This is the solution that I have come up with. Please correct me if I am wrong.

I am trying to wrap my head around Simon's algorithm and I am trying to solve a question.
This is the solution that I have come up with. Please correct me if I am wrong.
