Pauli-based computation supposedly gives the full Clifford group.
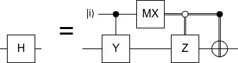
For instance, the CNOT can be implemented using joint ZZ measurement and joint XX measurement and using an additional ancilla qubit.
To generate the Clifford group, it would be sufficient to have similar gadgets for S and H. How does one achieve a hadamard gate just using measurements?
(This is a question at the logical level - not asking about specifics of any code. Although, surface code lattice surgery examples could still help.)

