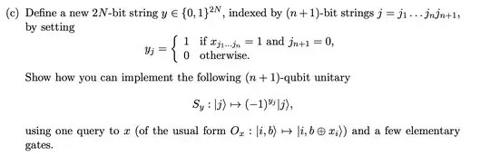
In the above question from de Wolf's lecture notes, I'm facing difficulties in constructing the oracle. I'm unable to understand how to use the boolean oracle to construct a phase oracle. Any help would be appreciated!
Asked
Active
Viewed 180 times
1 Answers
3
In practice, this is often done with an ancilla qubit in three (four) steps:
- add an ancilla qubit by default in the $|0\rangle$ state
- perform a multi control-X (mcx) gate where the target is the ancilla qubit, ensuring that the control on the $j+1$ qubit is inverted (i.e. control if only 0). This mcx gate can be decomposed into native gates if desired
- apply a $Z$ gate to the ancilla qubit
- (optional) you can reset the ancilla qubit back to the original state by re-applying the same mcx gate
Hope this helps
sheesymcdeezy
- 2,041
- 8
- 27
