I'm following this toric code tutorial, where they constructed the $X$-logicals matrix using the Künneth theorem.
I'm confused about why they specifically used $X$-logicals when only $Z$ errors were allowed to occur.
I used the following code to create the $Z$-logicals matrix manually.
def toric_code_z_logicals(L):
n_qubits = 2 * L * L # Total number of qubits in the toric code lattice
matrix = dok_matrix((2, n_qubits), dtype=int) # Two logical Z operators
# Logical Z Operator 1: Mark every L-th qubit starting from the first qubit
logical1_indices = [i * L for i in range(L)]
# Logical Z Operator 2: Mark all qubits in the last row of the lattice
logical2_start = n_qubits - L # Starting index of the last row
logical2_indices = [logical2_start + i for i in range(L)]
# Fill in the matrix for the two logical Z operators
for idx in logical1_indices:
matrix[0, idx] = 1
for idx in logical2_indices:
matrix[1, idx] = 1
return matrix.todense()
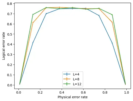
I tried using $Z$-logicals instead but ended up with the following graph that looks like a bell curve when plotting the physical vs logical error graph using physical errors up to one.
