Need help in proving (by induction or by combinatorics) the following statement

Is it possible to do it by induction? there are 3 veriables and I think I cannot easily do it by induction. Correct? I am not sure from where even to begin...
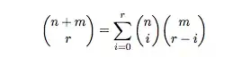
Need help in proving (by induction or by combinatorics) the following statement

Is it possible to do it by induction? there are 3 veriables and I think I cannot easily do it by induction. Correct? I am not sure from where even to begin...