I can't resolve this exercise and I need a tip.
$$ \sum_{k=0}^{r} \binom{r-k}{m} \binom{s+k}{n} = \binom{r+s+1}{m+n+1} $$
where $ n \geq s $.
I can't resolve this exercise and I need a tip.
$$ \sum_{k=0}^{r} \binom{r-k}{m} \binom{s+k}{n} = \binom{r+s+1}{m+n+1} $$
where $ n \geq s $.
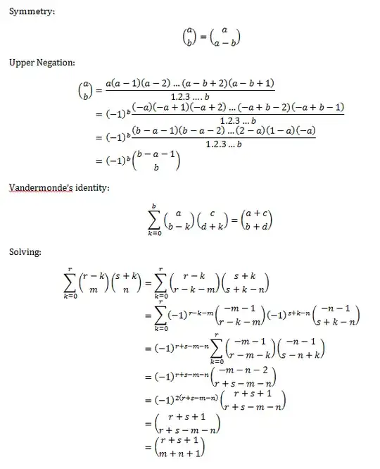
Apply the following in order:
symmetry to get the summation index $k$ to appear at the bottom
upper negation to remove $k$ from the top
Vandermonde's identity to settle the summation and remove $k$
upper negation to make $r, s$ appear at the top
symmetry to remove $r, s$ from the bottom.

Suppose we seek to evaluate $$\sum_{k=0}^r {r-k\choose m} {s+k\choose n}$$ where $n\ge s$ and $m\le r.$
Introduce $${r-k\choose m} = \frac{1}{2\pi i} \int_{|z|=\epsilon} \frac{1}{z^{r-k-m+1}} \frac{1}{(1-z)^{m+1}} \; dz.$$
Note that this is zero when $k\gt r-m$ so we may extend the sum in $k$ to $k=\infty.$
Introduce furthermore $${s+k\choose n} = \frac{1}{2\pi i} \int_{|w|=\gamma} \frac{(1+w)^{s+k}}{w^{n+1}} \; dw.$$
This yields for the sum $$\frac{1}{2\pi i} \int_{|z|=\epsilon} \frac{1}{z^{r-m+1}} \frac{1}{(1-z)^{m+1}} \frac{1}{2\pi i} \int_{|w|=\gamma} \frac{(1+w)^{s}}{w^{n+1}} \sum_{k\ge 0} z^k (1+w)^k \; dw\; dz \\ = \frac{1}{2\pi i} \int_{|z|=\epsilon} \frac{1}{z^{r-m+1}} \frac{1}{(1-z)^{m+1}} \frac{1}{2\pi i} \int_{|w|=\gamma} \frac{(1+w)^{s}}{w^{n+1}} \frac{1}{1-(1+w)z} \; dw\; dz.$$
For the geometric series to converge we must have $|z(1+w)|\lt 1$, which also ensures that the inner pole is not inside the contour. Observe that $|z(1+w)| = \epsilon |1+w| \le \epsilon (1+\gamma).$ So we need to choose $1+\gamma \lt 1/\epsilon$ with $\epsilon$ in a neighborhood of zero. The choice $\epsilon=1/2$ and $\gamma=1/2$ will work.
Continuing we find $$\frac{1}{2\pi i} \int_{|z|=\epsilon} \frac{1}{z^{r-m+1}} \frac{1}{(1-z)^{m+2}} \frac{1}{2\pi i} \int_{|w|=\gamma} \frac{(1+w)^{s}}{w^{n+1}} \frac{1}{1-wz/(1-z)} \; dw\; dz.$$
Extracting the inner residue we get $$\sum_{q=0}^n {s\choose n-q} \frac{z^q}{(1-z)^q}.$$
Now $$\frac{1}{2\pi i} \int_{|z|=\epsilon} \frac{1}{z^{r-m-q+1}} \frac{1}{(1-z)^{m+q+2}} \; dz = {r+1\choose m+q+1}$$
which yields for the sum $$\sum_{q=0}^n {s\choose n-q} {r+1\choose m+q+1}.$$
At this point we can conclude by applying Vandermonde to get
$${r+s+1\choose m+n+1}.$$
Remark. This can be done using formal power series only.
We have for the sum
$$\sum_{k=0}^r {r-k\choose m} {s+k\choose n} = \sum_{k=0}^r [z^{r-k-m}] \frac{1}{(1-z)^{m+1}} [w^n] (1+w)^{s+k} \\ = [z^{r-m}] \frac{1}{(1-z)^{m+1}} [w^n] (1+w)^{s} \sum_{k=0}^r z^k (1+w)^k.$$
Now we may certainly extend the sum to infinity as there is no contribution to the coefficient extractor when $k\gt r-m$ (recall that $r\ge m$) getting
$$[z^{r-m}] \frac{1}{(1-z)^{m+1}} [w^n] (1+w)^{s} \sum_{k\ge 0} z^k (1+w)^k \\ = [z^{r-m}] \frac{1}{(1-z)^{m+1}} [w^n] (1+w)^{s} \frac{1}{1-z(1+w)} \\ = [z^{r-m}] \frac{1}{(1-z)^{m+1}} [w^n] (1+w)^{s} \frac{1}{1-z-wz} \\ = [z^{r-m}] \frac{1}{(1-z)^{m+2}} [w^n] (1+w)^{s} \frac{1}{1-wz/(1-z)}.$$
Now with $n\ge s$ we get for the inner coefficient
$$\sum_{q=0}^s {s\choose q} \frac{z^{n-q}}{(1-z)^{n-q}}.$$
Substitute into the outer coefficient extractor to get
$$[z^{r-m}] \frac{1}{(1-z)^{m+2}} \sum_{q=0}^s {s\choose q} \frac{z^{n-q}}{(1-z)^{n-q}} = [z^{r-m}] \sum_{q=0}^s {s\choose q} \frac{z^{n-q}}{(1-z)^{n+m+2-q}} \\ = \sum_{q=0}^s {s\choose q} [z^{r-m-n+q}] \frac{1}{(1-z)^{n+m+2-q}} = \sum_{q=0}^s {s\choose q} {r+1\choose n+m+1-q}.$$
With $n\ge s$ and the first binomial coefficient we may raise $q$ to $n+m+1$ and then apply Vandermonde to get
$${r+s+1\choose n+m+1}.$$
Let's count in how many ways one can choose $m+n+1$ numbers $a_1<a_2<\cdots <a_{m+n+1}$ out of $\{1,2,\cdots, r+s+1\}$?
Since $n\ge s$, one can only choose $a_{n+1}$ from $\{s+1,\cdots, s+r+1\}$. For each value $a_{n+1}=s+k+1$, one then continue to choose $a_1<a_2<\cdots<a_n\leq s+k$ and...
Alternate complex variable proof.
Start with
$$\frac{1}{2\pi i} \int_{|z|=\varepsilon} \frac{(1+z)^r}{z^{m+1}} \frac{1}{2\pi i} \int_{|w|=\gamma} \frac{(1+w)^s}{w^{n+1}} \sum_{k=0}^r \frac{(1+w)^k}{(1+z)^k} \; dw \; dz.$$
where $\varepsilon \gt \gamma$ and this time we require $n\ge s$ and $n,m\ge 0.$ We obtain
$$\frac{1}{2\pi i} \int_{|z|=\varepsilon} \frac{(1+z)^r}{z^{m+1}} \frac{1}{2\pi i} \int_{|w|=\gamma} \frac{(1+w)^s}{w^{n+1}} \frac{1-(1+w)^{r+1}/(1+z)^{r+1}}{1-(1+w)/(1+z)} \; dw \; dz \\ = \frac{1}{2\pi i} \int_{|z|=\varepsilon} \frac{(1+z)^r}{z^{m+1}} \frac{1}{2\pi i} \int_{|w|=\gamma} \frac{(1+w)^s}{w^{n+1}} \frac{1+z-(1+w)^{r+1}/(1+z)^{r}}{z-w} \; dw \; dz.$$
Now we have two pieces, the first piece is
$$\frac{1}{2\pi i} \int_{|z|=\varepsilon} \frac{(1+z)^{r+1}}{z^{m+1}} \frac{1}{2\pi i} \int_{|w|=\gamma} \frac{(1+w)^s}{w^{n+1}} \frac{1}{z-w} \; dw \; dz.$$
Note that with our choice of contour the pole at $w=z$ of the integral in $w$ is outside the contour. With $n\ge s$ the residue at infinity is zero so we may evaluate the integral with minus the residue at $w=z.$ We get
$$\frac{1}{2\pi i} \int_{|z|=\varepsilon} \frac{(1+z)^{r+s+1}}{z^{m+n+2}} \; dz = {r+s+1\choose m+n+1}.$$
This is the claim. The second piece gives
$$\frac{1}{2\pi i} \int_{|z|=\varepsilon} \frac{1}{z^{m+1}} \frac{1}{2\pi i} \int_{|w|=\gamma} \frac{(1+w)^{r+s+1}}{w^{n+1}} \frac{1}{z-w} \; dw \; dz.$$
We apply the Leibniz rule to the integral in $w$ to get
$$\frac{1}{n!} \left((1+w)^{r+s+1} \frac{1}{(z-w)^1}\right)^{(n)} \\ = \frac{1}{n!} \sum_{q=0}^n {n\choose q} (1+w)^{r+s+1-q} (r+s+1)^{\underline{q}} \frac{1}{(z-w)^{1+n-q}} 1^{\overline{n-q}}.$$
Evaluate at $w=0$ and simplify geometrics,
$$\sum_{q=0}^n {r+s+1\choose q} \frac{1}{z^{1+n-q}}.$$
Note however that
$$\frac{1}{2\pi i} \int_{|z|=\varepsilon} \frac{1}{z^{m+1}} \frac{1}{z^{n+1-q}} \; dz = [[m+n+1-q = 0]] = 0$$
owing to the boundary conditions, which concludes the argument.