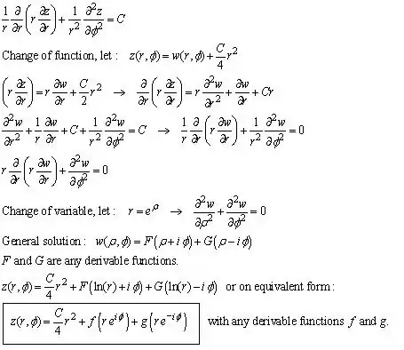
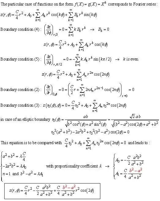
I am trying to find $z(r,\phi)$ from the 2D Poisson equation in polar coordinates: $$\frac{1}{r}\frac{\partial}{\partial r}\left(r \frac{\partial z}{\partial r}\right)+\frac{1}{r^2}\frac{\partial^2z}{\partial \phi^2}=C \tag{1}$$ where $C$ is a constant and the following boundary conditions apply: $$z^{(1,0)} (0,\phi)=0 \tag{2}$$ $$z (r_0(\phi),\phi)=0 \tag{3}$$ $$z^{(0,1)} (r,0)=0 \tag{4}$$ $$z^{(0,1)} (r,\pi/2)=0 \tag{5}$$
where $z^{(1,0)}=\partial z/\partial r$ and $z^{(0,1)}=\partial z/\partial \phi$.
The part I cannot wrap my head around is how to work with the dirichlet boundary condition on a variable boundary $r=r_0(\phi)$ in $(3)$.
Can someone guide me through the steps to find $z(r,\phi)$?
If it helps $r_0(\phi)$ is an ellipse, i.e. $r_0(\phi)=\frac{a b}{\sqrt{b^2 \cos^2\phi + a^2 \sin^2\phi}}$.
Following up on the comment by @Dmoreno to use a different coordinate system: $x=a r \cos \phi$ and $y=b r \cos \phi$. Indeed this transform BC$(3)$ into $z(1,0)=0$, which seems convenient. However, transforming the original equation $(1)$ for this coordinate system results in the following nasty equation: $$\left(\frac{\cos^2\phi}{a^2}+\frac{\sin^2\phi}{b^2}\right)\frac{\partial^2 z}{\partial r^2}+\left(\frac{\cos^2\phi}{b^2 r^2}+\frac{\sin^2\phi}{a^2 r^2}\right)\frac{\partial^2z}{\partial \phi^2}+\\ \left(\frac{\cos^2\phi}{b^2 r}+\frac{\sin^2\phi}{a^2 r}\right)\frac{\partial z}{\partial r}+ \frac{2 \cos\phi \sin \phi}{r^2}\left(\frac{1}{a^2}-\frac{1}{b^2}\right)\frac{\partial z}{\partial \phi} + \\ \frac{2 \cos\phi \sin \phi}{r}\left(\frac{1}{b^2}-\frac{1}{a^2}\right)\frac{\partial^2 z}{\partial \phi \partial r} = C\tag{6}$$
Which I don't think I can solve anymore in the framework of the poisson equation. Any other input/suggestions on solving this system?

