A Mersenne number is a string of binary digits of the form ab, where the lengths of a and b are n and n >= 1. The length of ab is 2n. There are two types of Mersenne number. The first type is a periodic binary number where a=b and all the digits of a and b are 1's eg 11111111. The second type is similar to the first, except that the first bit of a is 0, so a<>b, for example 01111111.
Using the prime number theorem, the total number of Mersenne primes is therefore approximately:

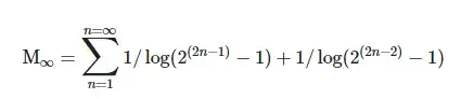
Since the ratio between the successive terms of the series is < 1, D'Alembert's criterion, the series is absolutely convergent. Thus the number of Mersenne primes is finite.
The series converges very slowly, so slowly in fact that for n=512 (the MS Excel floating point limit) only 10 Mersenne primes are approximated, where 14 already exist. This series has not yet been further enumerated.
This work is available in more detail in the appendix of my recent paper
The supplementary materials
contain example MS Excel spreadsheets illustrating my approach.