
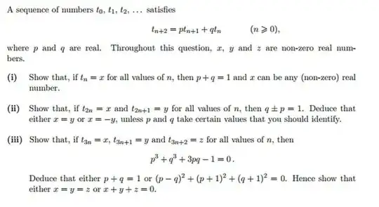
Parts i) & ii) I can solve.
For part iii) I get
$z=py+qx$ [For $n=0$]
$x=pz+qy$ [For $n=1$]
$y=px+qz$ [For $n=2$]
leading to
$(1-pq)x=(q^2+p)z$ [1]
$(1-pq)z=(q^2+p)y$ [2]
$(1-pq)x=(q^2+p)y$ [3]
Rearranging I get $x=\frac{(q^2+p)z}{1-pq}$ $y=\frac{(q^2+p)x}{1-pq}$ & $z=\frac{(q^2+p)y}{1-pq}$ and substituting $x$ & $y$ in to the $z$ equation $\implies$
$z=\frac{(q^2+p)y}{(1-pq)^2}=\frac{((q^2+p)^2)x}{(1-pq)^2}= \frac{((q^2+p)^3)z}{(1-pq)^3}$ $\implies$ $\frac{((q^2+p)^3)}{(1-pq)^3}=1$ [as the $z$'s cancel out]. So taking the cube root leaves $\frac{q^2+p}{1-pq}=1$ or $\frac{q^2+p}{1-pq}=-1$ Multiplying these two equations produces $q^4+2pq^2 +p^2 = 2pq -(pq)^2 -1$
But this is obviously not the answer. Can someone please show me how to get to $p^3+q^3+3pq-1=0$.
With kind regards,
Thank You.