3

I am reading about the multinomial theorem here

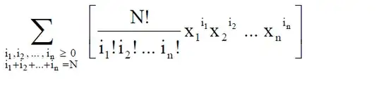
How do I read the summation notation in this line:

enter image description here

Also, can someone please show me how to apply it to the following expansion:

$$\left( x-\frac{x^2}{2}+\frac{x^3}{3}-\frac{x^4}{4}\right)^4$$

I am not sure how to map the notation into the actual expression.

mauna
  • 3,650

3 Answers3

3

The multinomial notation means that this is the sum over all possible values $i_1,i_2,\dots, i_n$ for which $i_1+i_2+\dots +i_n=N$ holds. This means that, for $n=2$ and $N=3$, you have the values $0,3$, $1,2$ $2,1$ and $3,0$, meaning that the sum in this case would contain the sumands $$\frac{3!}{3!0!}x_1^3x_2^0+\frac{3!}{2!1!}x_1^2x_2^1 + \frac{3!}{1!2!}x_1^1x_2^2+\frac{3!}{0!3!}x_1^0x_2^3. $$

In your case, you have $N=4$ and $n=4$, so you have some more combinations, namely $34$. This gives you $34$ different values to sum up. It's a mess, but doable.

The $34$ combinations are: $(4,0,0,0)$, $(0,4,0,0)$, $(0,0,4,0)$ and $(0,0,0,4)$ to begin with, then all possibilities of $4=3+1$, of which there are $12$:

$3,1,0,0$

$3,0,0,0$

$3,0,1,0$

$3,0,0,1$

$1,3,0,0$

$0,3,1,0$

$0,3,0,1$

$1,0,3,0$

$0,1,3,0$

$0,0,3,1$

$1,0,0,3$

$0,1,0,3$

$0,0,1,3$

then all possibilities for $4=2+1+1$, again there are $12$ of them:

$2,1,1,0$

$2,1,0,1$

$2,0,1,1$

$1,2,1,0$

$1,2,0,1$

$0,2,1,1$

$1,1,2,0$

$1,0,2,1$

$0,1,2,1$

$1,1,0,2$

$1,0,1,2$

$0,1,1,2$

and another $6$ possibilities for $4=2+2$:

$2,2,0,0$

$2,0,2,0$

$2,0,0,2$

$0,2,2,0$

$0,2,0,2$

$0,0,2,2$

Edit: One last possible way of writing $4$ as a sum of $4$ integers is of course $4=1+1+1+1$, yielding a total of $35$ possible ways.

5xum
  • 126,227
  • 6
  • 135
  • 211
  • Thank you very much for your detailed answer. May I know how you computed that there are 34 combinations in my example and do you know of any systematic way to ensure that we cover all possible combinations when we enumerate those combinations? – mauna Feb 17 '14 at 17:09
  • 1
    Look at my edit, there are actually $35$. This time, I know that is all because $35$ is the number of different multisets of size $4$ of a set of size $4$, so $\left({n\choose n}\right) = {2n-1\choose n}$ – 5xum Feb 17 '14 at 17:23
2

There is no need to remember the formula. Its a consequence of simple combinatorics. I assume you know that if you are given $n_1$ objects of type $1$, $n_2$ objects of type $2$,... and $n_k$ objects of type $k$ with $n_1 + \dots n_k = N$, then there are $\frac{N !}{n_1 ! \dots n_k !}$ distinct arrangements.

The same happens when you consider $(x_1 + \dots x_k)^N$. Every term in its expansion is of degree $N$ and if you need to find the coefficient of say $x_1 ^{i_1} \dots x_k ^{i_k}$, the problem is equivalent to the above problem. Using the same argument we can write the given formula.

So, given $N$, find different partitions of $N$ and for each partition write the given formula.

0

I don't know if this is the simple way of understanding the multinomial formula. But here an algebric proof of it.

1-
Let's note $D(n;r)$ all the possible partition of $\left \{ 1;...;n \right \}$ indexes by $\left \{ 1;...;r \right \}$. That means all the possible partition of $\left \{ 1;...;n \right \}$ into $r$ subsets.
We can note that $D(n;r)= $ { The set of all partitions in $r$ sub sets such that the first sub set has $i_1$=1 element, the segond sub set has $i_2$=3 elements, ... the $l$-th subset has $i_l$ elements... such that of course $i_1+i_2+...+i_l+...=n$ } $\cup$ { The set of all partitions in $r$ sub sets such that the first sub set has $i_1$=4 element, the segond sub set has $i_2$=1 elements, ... the $l$-th subset has $i_l$ elements... such that of course $i_1+i_2+...+i_l+...=n$ } $\cup ...$
More generally we writte $D(n; i_1, i_2, ..., i_r)$ a possible partition of $\left \{ 1;...;n \right \}$ into $r$ sub set s.t. the first sub set has $i_1$ elements, the second $i_2$...and of course $i_1+i_2+...+i_l+...=n$.
Thus we get $D(n;r)=\bigcup_{all \, possibles \, (i_1;i_2;...;i_r) \in \mathbb{N} \, s.t. i_1+...+i_r=n }^{} D(n; i_1, ..., i_r)$. In other words we redescribe $D(n;r)$ as an union of smaller sub set $D(n; i_1, ..., i_r)$.

2-
Now let focus on $D(n; i_1, ..., i_r)$. From here we know that there is exactly $|D(n;i_1,...,i_r)| = \frac{n!}{i_1! i_2! ... i_n!}$ elements in each $D(n;i_1,...,i_r)$.

3-
By definition $(x_1+x_2+...+x_r)^n=$ the sum of all possibles multiplications that can be made by multipliying $n$ elements chosen (with or without repetition) from $ \left \{ x_1;x_2;...;x_r \right \} = $ sum on each of $D(n;r)$ partition possible where the power of an $ x_i \in \left \{ x_1;x_2;...;x_r \right \}$ is given by the number of elements in his correspondant sub set in the partition (maybe equal to $0$). Indeed the fact that we choose $n$ elements from $ \left \{ x_1;x_2;...;x_r \right \} $ caused that the total power on each element of this big sum, "sum up/is equal" to $n$.
But we gave in "-1" a complete disjoint descritption of $D(n;r)$ hence.
$(x_1+x_2+...+x_r)^n=\sum_{\pi \in D(n;r)}^{}x_1^{|\pi (index \, 1)|} \cdot ... \cdot x_r^{|\pi (index \, r)|}= \sum_{(i_1,...,i_n) \,s.t. \,i_1+...+i_n=n}^{}\binom{n}{i_1,i_2,...,i_r} x_1^{i_1} \cdot x_2^{i_2} \cdot ... \cdot x_r^{i_r}$
Where $ \pi $ is a specific partition of $D(n;r)$ and where, for exemple, $|\pi (index \, 1)|$ gives the number of element in the first intervall $I_1$ corresponding to $x_i$ in the given partition $\pi$. See here for more details with exemple.
Note that $|\pi ( index \, 1)| + ... + |\pi ( index \, r)| = n$ Q.E.D.