If
$$f=f(g(x),h(x))$$
Then I can easily demonstrate the chain rule:
$$\frac{df}{dx}=\frac{\partial{f}}{\partial{g}}\cdot\frac{\partial{g}}{\partial{x}}+\frac{\partial{f}}{\partial{h}}\cdot\frac{\partial{h}}{\partial{x}}$$
But what if
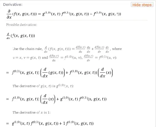
$$f=f(x,g(x,t))$$
Then it'll be wrong if I write the chain rule this way:
$$\frac{\partial{f}}{\partial{x}}=\frac{\partial{f}}{\partial{x}}+\frac{\partial{f}}{\partial{g}}\cdot\frac{\partial{g}}{\partial{x}}$$
because the $\frac{\partial{f}}{\partial{x}}$ in the left has a different meaning from the one in the right.
Then how do I express this equation?
