I know how to do Newton's method to find roots for a single variable function but then I got this problem and I am unsure of how to find the roots for multivariate functions using Newton's method:

I know how to do Newton's method to find roots for a single variable function but then I got this problem and I am unsure of how to find the roots for multivariate functions using Newton's method:

Say you put this on an spreadsheet:
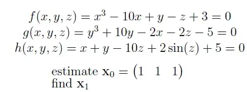
1
1
1
f(x,y,z)
g(x,y,z)
h(x,y,z)
Create the 3x3 Jacobian Matrix. 1st row's three terms are the partial derivatives of the 1st equation with respect to x then y and then z. Etc for g(x,y,z) and h(x,y,z) for rows 2 and 3. These 9 terms are all evaluated using the current guessed values.
Use the MInverse function in Excel to find the inverse of the 3x3 Jacobian (a 3x3). Call result J^-1. Note: when entering a matrix function, select the 3x3, enter equation into active cell, hit Shift-Enter-Return to create the matrix results. The equations will appear in braces; {.. }'s in the formula bar.
Use the MMult function to multiply the J^1 3x3 matrix times the 3x1 matrix array of function values created in #2.
The new values of x,y,z are the matrix of the x,y,z values created in #1 minus the result from #5. You will not need a matrix function since each value may be subtracted piece wise: x2 = x1 - first term from #5, etc.
Repeat process starting at #1 but use new values for x,y,z calculated in #6 until convergence is satisfactory.
Note: non-linear systems can have multiple roots so the set you find depends on your initial guesses.
Saying it with mathematical succinctness, where X is an array of variables and f(X) an array of function values, repeating
X(i+1)=X(i)-J^-1 * f(X(i))
where J^-1 is the Jacobian of f(X(i))
will converge on X such that f(X) --> 0.