We know Cauchy Residue theorem from the Complex analysis. however I wonder if there is a kind of Generalization of Cauchy integral and Residue theorem to the complex multidimensional holomorphic function too ? if such theorem exists, please mention any possible application of this theorem too. Can this theorem help in Iterative elimination of roots of a polynomial equations system ?
2 Answers
Cauchy's integral formula has a straight-forward generalization to polydiscs. If $f$ is holomorphic on (a neighbourhood) of the polydisc $\Omega = \mathbb{D}(z_1,r_1) \times \mathbb{D}(z_2,r_2) \times \cdots \times \mathbb{D}(z_n,r_n)$, and $a \in \Omega$, then
$$ f(a) = \frac{1}{(2\pi i)^n} \int_{|z_1|=r_1} \int_{|z_2|=r_2}\cdots\int_{|z_n|=r_n} \frac{f(z_1, z_2, \ldots, z_n)}{(z_1-a_1)(z_2-a_2)\cdots(z_n-a_n)}\,dz_1\cdots dz_n. $$
The really fascinating thing is that we are integrating just on a tiny part of the boundary of $\Omega$.
For more general domains $\Omega \subset \mathbb{C}^n$, you have the Bochner-Martinelli integral formula, and there are lots of other integral representation formulas. Keywords: Leray and Koppelman integral formulas. See for example Range: Holomorphic Functions and Integral Representations in Several Complex Variables for details.
Regarding generalizations of residues to several complex variables, see this recent question.
-
Can this theorem help in Iterative elimination of roots of a polynomial equations system ? – behrad mahboobi Oct 01 '13 at 13:07
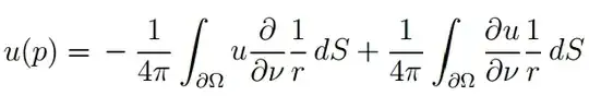
A function of a single complex variable generates harmonic functions in the X-Y plane. This leads to an interesting way of thinking about Cauchy's integral formula and Green's integral formula for harmonic functions.
- Cauchy's formula: A boundary line integral of the complex function can determine the value of the function within the enclosed area.
- Green's formula: A boundary surface integral of a harmonic function can determine the value of the function within the enclosed volume:

- 9