The book reference is here.
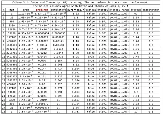
The problem $(3.13)$ concerns the typical set for a sequence of i.i.d. binary random variables, $X_{1}, X_{2},...,X_{25}$, where the probability that $X_i = 1$ is $0.6$ (and therefore the probability that $X_i = 0$ is $0.4$). This is essentially a sequence of flips of a biased coin. The entropy of a random variable with this probability is $.971$. The typical set comes up in the discussion of the $\mathrm{AEP}$ (asymptotic equipartition property).
Specifically, I think the third column in the book's table is wrong. I don't know if I am allowed to paste an image of that table here, so I am only going to post part of it.
The table in the book has four columns. I think columns $1$, $2$, and $4$ are correct. I think column $3$ is wrong and should be replaced by the column prob$*$num in the table I independently generated.
In my table, I've added other columns related to the $\mathrm{AEP}$.
The formula for surprisal/n column is $-\log_2({\text{prob}})/n$ and is correct in both the book's table and mine. ($n = 25$).
Question: Do others agree? And, what IS the third column in the book?

