5

While using the GeoGebra application, I discovered a beautiful property of the parabola around two months ago. I started working on its proof three days ago, but I felt frustrated by how complicated the problem had become without successfully proving it. I did not expect the calculations to reach this level of complexity.

Given: Let $P$ be a parabola with focus $F$ and directrix $L \overleftrightarrow{}$, and let $A$ and $B$ be points on $P$ such that $A$, $B$, and $F$ are collinear. Let $C$ and $D$ be points on $P$ such that $\overleftrightarrow{AB} \parallel \overleftrightarrow{CD}$. Furthermore, let $\overleftrightarrow{AD} \cap \overleftrightarrow{BC} = M$ and $\overleftrightarrow{AC} \cap \overleftrightarrow{BD} = N$.

To prove: Show that $\overline{CD} = 2 \overline{MN}$.

enter image description here

My attempt: I assumed: $P: y = kx^2$ $A: (a, ka^2)$ $C: (c, kc^2)$

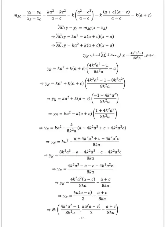
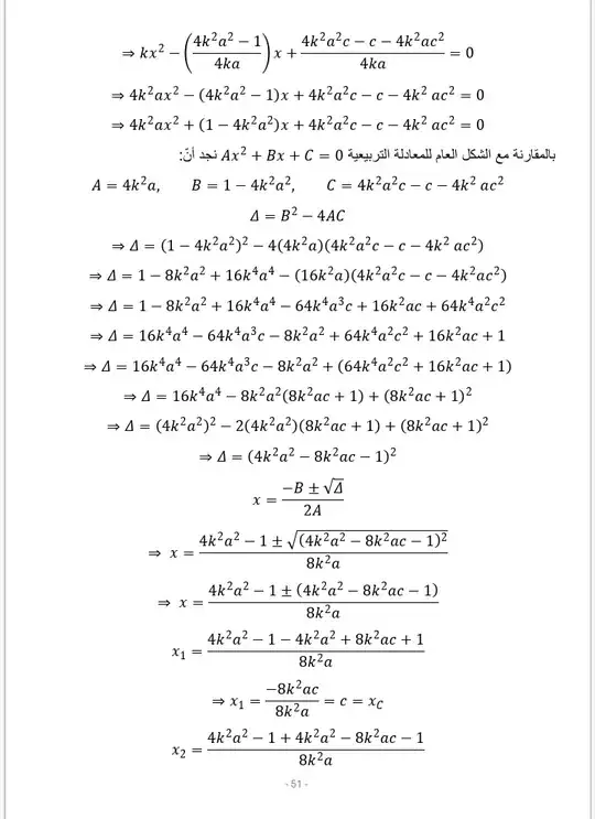
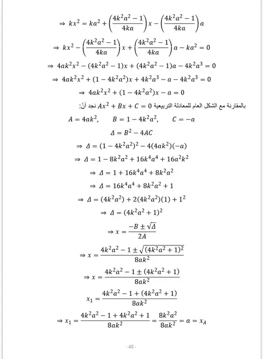
After some exhausting calculations using analytic geometry, I found the following: $F: (0, \frac{1}{4k})$ $B: \left(-\frac{1}{4k^2 a}, \frac{1}{16k^3 a^2} \right)$ $D: \left(a - c - \frac{1}{4k^2 a}, k\left(a - c - \frac{1}{4k^2 a}\right)^2 \right)$

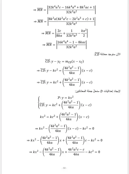
$\overline{MN} = \left| -\frac{ka^2}{2} + kac + \frac{c}{4ka} + \frac{1}{32k^3 a^2} \right|$

$\overline{CD} = \sqrt{\left(2c - a + \frac{1}{4k^2 a}\right)^2 \left(1 + k^2 \left(a - \frac{1}{4k^2 a}\right)^2 \right)}$

When testing the values I obtained on GeoGebra, it turned out that my calculations were correct. However, all attempts to simplify $\overline{CD}$ and show that $\overline{CD} = 2 \overline{MN}$ have failed. Even Wolfram Alpha was unable to simplify the expression for $\overline{CD}$ to a form similar to $\overline{MN}$.

If anyone can simplify the expression or provide a proof by another method, I would greatly appreciate it.

If you need details of the calculations, here are the following pages in Arabic: enter image description here enter image description here enter image description here enter image description here enter image description here enter image description here enter image description here enter image description here enter image description here

If the theorem is known in advance, please indicate a source

  • In the special case where A=C, B=D, then N is the intersection of two tangents and M lies on AB. One can then calculate the angle ANB to be 90deg, which gives a rectangle and proves your result. But I don't find a suitable rectangle in your general case. – Strichcoder Jan 11 '25 at 02:44
  • Oh yes I get what you mean, you mean using the property that the length of the median of the hypotenuse in a right triangle is equal to half the length of the hypotenuse. @Strichcoder where you draw a congruent right triangle to complete the drawing into a rectangle – زكريا حسناوي Jan 11 '25 at 07:09
  • Expanding your results I get: $$CD^2=\frac{256 a^8 k^8-1024 a^7 c k^8+1024 a^6 c^2 k^8-256 a^5 c k^6+512 a^4 c^2 k^6-32 a^4 k^4+64 a^3 c k^4+64 a^2 c^2 k^4+16 a c k^2+1}{256 a^4 k^6}$$ and $$MN^2=\frac{256 a^8 k^8-1024 a^7 c k^8+1024 a^6 c^2 k^8-256 a^5 c k^6+512 a^4 c^2 k^6-32 a^4 k^4+64 a^3 c k^4+64 a^2 c^2 k^4+16 a c k^2+1}{1024 a^4 k^6}={1\over4}CD^2$$ – Intelligenti pauca Jan 11 '25 at 16:13
  • And Mathematica simplifies $CD$ as: $$CD=\frac{\left(4 a^2 k^2+1\right) \left|-4 a^2 k^2+8 a c k^2+1\right|}{16 a^2 k^3}$$ – Intelligenti pauca Jan 11 '25 at 17:47

2 Answers2

3

In the special case where the line $CD$ coincides with the line $AB$, the point $M$ becomes the midpoint of $AB$, and the point $N$ is the intersection point of the tangents at $A$ and $B$. Thus, the problem can be reformulated as follows:

Given: $P$ is a parabola with focus $F$ and directrix $L$, and $A, B$ are points on $P$ such that $A, F, B$ are collinear. The point $M$ is the midpoint of $AB$, and the point $N$ is the intersection point of the tangents at $A$ and $B$.

To prove: Show that $AB = 2MN$.

enter image description here

Proof: We know that the tangents drawn at the endpoints of a chord passing through the focus of a parabola intersect at a point on the directrix of the parabola. Thus, $N \in L$. We also know that the straight line passing through the midpoint of a chord of a parabola and the intersection point of the tangents at the endpoints of this chord must be perpendicular to the directrix. Therefore, $MN \perp L$. Let $A'$ be the perpendicular projection of the point $A$ onto the line $L$, and let $B'$ be the perpendicular projection of the point $B$ onto the line $L$. Then, $AA' \parallel BB' \parallel MN$ because perpendiculars to the same line are parallel.

We know that the line passing through the midpoint of one pair of opposite sides of a trapezoid and parallel to the bases must pass through the midpoint of the other pair of opposite sides. Thus, $MN$ represents the midline of the trapezoid $AA'B'B$, and its length equals the arithmetic mean of the lengths of the two bases of the trapezoid:

$MN = \frac{AA' + BB'}{2}$

From the definition of the parabola, we have:
$$AA' = AF \quad \text{and} \quad BB' = BF.$$

Therefore:
$$AB = AA' + BB'.$$

Substituting this into the equation for $MN$, we get:
$$MN = \frac{AB}{2}.$$

  • [+1] A detail : there is a name for "a chord passing through the focus of a parabola" which is "a focal chord" – Jean Marie Jan 13 '25 at 07:22
0

This answer shows the relation $CD=2MN$, but also gives some supplementary properties which may be useful in the context. (It is hard to build a hotel hall with walls in a parabola shape, but when we do so, knowing which distances are equal allow us to further use this information for further functional and esthetic architectural features.) All computations are typed in detail, there is no need for computer support.


Recall the midpoint theorem for conics, MT for short. I will use the alternative notation $\Pi$ for the name of the given parabola, since $P$ is better suited for a point (after $M,N$ in the alphabet).

Below there will be also a simple analytic argument for MT. After a rotation we may assume that the given parabola has the $Oy$-axis as a symmetry axis, and its vertex is the origin $O(0,0)$. Let $f$ be the parameter that determines the focal point $F=(0,f)$. The directrix $(d)$ is then given by the equation $y=-f$.


We use the following parametrization for the parabola: $$ Z(t) = (2ft,\ ft^2)\ . $$ For points $A,B,C,\dots$ and so on on the parabola $\Pi$ we use the parameters (in notation) $t_A,t_B,t_C,\dots$ correspondingly.


First observation: For two points $C,D$ on $\Pi$ the slope of $CD$ is $\frac 12(t_C+t_D)$.

Proof: We compute this slope: $$ \small \frac{ft_C^2-ft_D^2}{2ft_C-2ft_D} = \frac{f(t_C-t_D)(t_C+t_D)}{2f(t_C-t_D)} = \frac 12(t_C+t_D)\ . $$

Second observation, MT: If $A,B,C,D$ are arbitrary points on $\Pi$ so that $AB\|CD$ then the mid points of the segments $AB$, $CD$ are on the parallel to the $Oy$-axis with equation $x=f(t_A+t_B)=f(t_C+t_D)$.

Proof: It follows from the first observation, since the slopes are equal, $(t_A+t_B)/2=(t_C+t_D)/2$.

Third observation: Assume that $AB$ is a focal chord, i.e. $A,B\in\Pi$, $F\in AB$. Then $t_At_B=-1$.

Proof: We write the collinearity condition of $A,F,B$ using a determinant vanishing, then compute this determinant up to (simple, irrelevant) non-zero factors. When ignoring such a factor we write $\sim$ instead of $=$ sign. $$ \small 0= \begin{vmatrix} 1 & 0 & f\\ 1 & 2ft_A & ft_A^2\\ 1 & 2ft_B & ft_B^2 \end{vmatrix} \sim \begin{vmatrix} 1 & 0 & 1\\ 1 & t_A & t_A^2\\ 1 & t_B & t_B^2 \end{vmatrix} = \begin{vmatrix} 1 & 0 & 1\\ 0 & t_A & t_A^2-1\\ 0 & t_B & t_B^2-1 \end{vmatrix} = \begin{vmatrix} t_A & t_A^2-1\\ t_B & t_B^2-1 \end{vmatrix} \\ \sim(t_B-t_A)(t_At_B+1) \sim(t_At_B+1) \ . $$ So we have $t_At_B=-1$.

$\square$


We consider now the situation from the given problem and introduce some auxiliary points:

MSE parabola problem 5021809 Let $P,Q$ be the intersection points of the line $MN$ with $AB$, respectively $CD$. Then by the theorem of Ceva applied in the triangles $\Delta NAB$, $\Delta NCD$ and the cevians through $M$, and using Thales w.r.t. $AB\|CD$, $$ \small \begin{aligned} -1 &= \frac{PA}{PB}\cdot\frac{DB}{DN}\cdot\frac{CN}{CA}= \frac{PA}{PB}\ ,\\ -1 &= \frac{QC}{QD}\cdot\frac{BD}{BN}\cdot\frac{AN}{AC}= \frac{QC}{QD}\ .\end{aligned} $$ This shows that $P,Q$ are respectively the mid points of $AB$, $CD$.

By MT, the line $MNPQ$ is parallel to the symmetry axis of the given parabola $\Pi$. We intersect this line with the parabola $\Pi$ and with the directrix $d$:

  • Let $R$ be $MNPQ\cap \Pi$.
  • Let $S$ be $MNPA\cap d$.

Claim: The tangent $RR$ in $R$ to $\Pi$ is parallel to the direction $AB\|CD$. We have $RP=RS=RF$. We also have $RM=RN$. Finally: $$ \bbox[lightgreen]{ \qquad QC=QD=MN=2RM=2RN\ . \qquad} $$

Proof: Consider instead of the segment $CD$ the limit segment in the same direction as $AB$ of length zero, so we consider the tangent parallel to $AB$ to $\Pi$. Let $R'$ be the tangency point. Then by MT the midpoint $R'$ of $R'R'$ is on the parallel to $Oy$ through $P$, so it is $R$. The point $R$ has thus the $x$-coordinate same as $P$, so $$ R= Z\left(\frac {t_A+t_B}2\right) =\left(f(t_A+t_B),\ \frac 14f(t_A+t_B)^2\right) \ . $$ We compute its distance to $F,P,S$. $$ \small \begin{aligned} F &= (0,f)\ ,\\ P &=\frac 12(A+B)=\frac 12(Z(t_A)+Z(t_B))=\left(f(t_A+t_B),\ \frac 12f(t_A^2+t_B^2)\right)\ ,\\ S &=(f(t_A+t_B), -f)\ ,\\[2mm] R &=\left(f(t_A+t_B),\ \frac 14f(t_A+t_B)^2\right) =\left(f(t_A+t_B),\ \frac 14f(t_A^2+t_B^2-2)\right) \\ &=\frac 12(P+S)\ ,\qquad\text{ so $RP=RS=\frac 12PS$,} \\[2mm] PS&=y_P-y_S =\frac 12f(t_A^2+t_B^2)-(-f) =\frac 12f(t_A^2+t_B^2+2) =\frac 12f(t_A^2+t_B^2-2t_At_B) \\ &=\frac 12f(t_A-t_B)^2\ , \\[2mm] RF^2 &= (f(t_A+t_B)-0)^2 + \left(\frac 14f(t_A+t_B)^2-f\right)^2 \\ &= f^2(t_A+t_B)^2 + f^2\left(\frac 14(t_A+t_B+2)(t_A+t_B-2)\right)^2 \\ &= \frac {f^2}{16}\Big(\ 16(t_A+t_B)^2 + (t_A+t_B+2)^2(t_A+t_B-2)^2\ \Big)^2 \\ &= \frac {f^2}{16}\Big(\ 16(t_A+t_B)^2 + \big((t_A+t_B)^2+4(t_A+t_B)+4\big) \big((t_A+t_B)^2-4(t_A+t_B)+4\big) \ \Big)^2 \\ &= \frac {f^2}{16}\Big(\ \big((t_A+t_B)^2+4\big)^2 \ \Big)^2 \\ RF&=\frac f4\big((t_A+t_B)^2+4\big)^2=\frac f4\big((t_A-t_B)^2\big)^2= \frac f4(t_A-t_B)^4=\frac 12PS=PR=RS\ . \\[3mm] \end{aligned} $$ For the last part a similar computation is done. For typing reasons i will use $t$ instead of $t_A$. Then $t_A=t$, $t_B=-\frac 1t=-\bar t$, and the $\bar t$-notation tries to avoid denominators. The line $MNPQ$ has thus the equation $$x=f(t-\bar t)\ .$$ Because of $$2f(t_C+t_D)=2ft_C+2ft_D=x_C+x_D=2x_Q=2f(t-\bar t)\ $$ we may and will use a parametrization for $t_C,t_D$ as follows: $$ \small \begin{aligned} t_C &=\frac 12(t-\bar t-u)\ ,\\ t_D &=\frac 12(t-\bar t+u)\ . \end{aligned} $$ We know $x_M=x_N=f(t-\bar t)$, so we only need $y_M,y_N$, and the distance $MN$ is the difference $y_M-y_N$. We compute $y_M=y_M(u)$ as the intersection $AD\cap MNPQ$, and $y_N=y_N(u)=y_M(-u)$ as $AC\cap MNPQ$. (Because $C$ is obtained from $D$ by replacing $u$ by $-u$.) Being on $AD$ the point $M=(f(t-\bar t),\ y_M)$ satisfies the relation: $$ \small \begin{aligned} 0 &= \begin{vmatrix} 1 & f(t-\bar t) & y_M\\ 1 & 2ft & ft^2\\ 1 & f(t-\bar t+u) &\frac f4(t-\bar t+u)^2 \end{vmatrix} \sim \begin{vmatrix} 1 & t-\bar t & y_M\\ 1 & 2t & ft^2\\ 1 & t-\bar t+u &\frac f4(t-\bar t+u)^2 \end{vmatrix} \\[2mm] &= \begin{vmatrix} 0 & -t-\bar t & y_M-ft^2\\ 1 & 2t & ft^2\\ 0 & -t-\bar t+u &\frac f4(t-\bar t+u)^2-ft^2 \end{vmatrix} \sim \begin{vmatrix} t+\bar t & y_M-ft^2\\ t+\bar t-u &\frac f4(t-\bar t+u)^2-ft^2 \end{vmatrix} \\[3mm] &\qquad\text{ which gives} \\[3mm] y_M-ft^2 &=\frac {f(t+\bar t)}{4(t+\bar t-u)} \Big((t-\bar t+u)^2-4t^2\Big) \\ &=\frac {f(t+\bar t)}{4(t+\bar t-u)} \Big((t-\bar t+u\ -2t)(t-\bar t+u\ +2t)\Big) \\ &=-\frac {f(t+\bar t)}4 \cdot (3t-\bar t+u) \ ,\\ y_N-ft^2 &= -\frac {f(t+\bar t)}4 \cdot (3t-\bar t-u) \ ,\\ y_M-y_N &=(y_M-ft^2 ) -(y_N-ft^2 ) \\ &=-\frac f2(t+\bar t)u\ . \\[3mm] &\qquad\text{ Also note that} \\[3mm] \frac 12(y_M+y_N) &= \frac 12(y_M-ft^2) + \frac 12(y_N-ft^2) + ft^2 =\frac f4\Big(4t^2-(t+\bar t)(3t-\bar t)\Big) \\ &= \frac f4\Big(t^2-2+\bar t^2\Big) =\frac f4(t-\bar t)^2 =y_R\ , \quad\text{ so $R$ is the midpoint of $MN$. Finally:} \\[3mm] CD^2 &= (x_D-x_C)^2 + (y_D-y_C)^2 \\ &= (2ft_D-2ft_C)^2+(ft_D^2-ft_C^2)^2\\ &=4f^2(t_D-t_C)^2+f^2(t_D-t_C)^2(t_D+t_C)^2\\ &=4f^2u^2+f^2u^2(t-\bar t)^2=f^2u^2(t+\bar t)^2\\ &=4(y_M-y_N)^2\\ &=4MN^2\ .\\ \end{aligned} $$ The last computation shows that we have $$ CD = 2MN\ , $$ which is exactly the wanted relation.

$\square$

dan_fulea
  • 37,952